Problematiskt

Päivi skrev :
Det här problemet är av samma typ och kan lösas på samma sätt som problemet i din andra tråd. Börja med den andra tråden och med att förstå den lösningen. Sen kan du använda samma metod till detta problem.
Jag har kunnat det Här, men nu är det bort blåst.
Päivi skrev :Jag har kunnat det Här, men nu är det bort blåst.
Vi tar den andra tråden först.
Ja, det gör vi.
Päivi skrev :
Du har gjort fel när du faktoriserade .
Ta för vana att alltid kontrollera dina faktoriseringar genom att multiplicera ihop faktorerna igen och se om det stämmer.
Yngve skrev :Päivi skrev :
Du har gjort fel när du faktoriserade .
Ta för vana att alltid kontrollera dina faktoriseringar genom att multiplicera ihop faktorerna igen och se om det stämmer.
Det blev fel
Jag klarar inte av det. Jag kan vänta med uppgiften några veckor.
Päivi skrev :Jag klarar inte av det. Jag kan vänta med uppgiften några veckor.
Ledtråd: Du kan skriva som .
x^n(1 - 2) verkar konstigt.
Päivi skrev :x^n(1 - 2) verkar konstigt.
Ja det är konstigt. Men det är inte det du får när du faktoriserar uttrycket. Det blir istället
----------
Jämför med förra uppgiften, där du hade att
Ser du likheterna?
Då blir det tre nollställen.
Ja, det gör jag.
x^ n-2= 0 ( nollprodukts metoden.
x^2-1=0
x^2=1
x= plus minus roten ur 1
x= 0
x-= plus roten ur 2
x= minus roten ur 2
Nu har du struntat i parenteser, trots uppmaning nyss, så att du skriver något totalt felaktigt (när jag tror att du menar helt rätt)
Du ger också fem lösningar när du säger att det finns tre lösningar.
Päivi skrev :Då blir det tre nollställen.
Ja, det gör jag.
x^ n-2= 0 ( nollprodukts metoden.
x^2-1=0
x^2=1
x= plus minus roten ur 1
x= 0
x-= plus roten ur 2
x= minus roten ur 2
På grund av att du återigen har slarvat med parenteserna i exponenten så har du fått fram två nollställen som inte finns.
Skriv ordentligt!
----
(Du har fått fram 5 nollställen, inte 3 som du skrev.)
Päivi skrev :
Men Päivi, menar du på allvar att du tror att ekvationen har lösningen ?
----------
Och är en ekvation, inte en beskrivning av ett nollställe.
Ursäkta, nu blev det stort miss. Jag menade roten ur 1 istället. Både plus och minus.
Päivi skrev :
Nu ser det bättre ut Päivi.
Förenkla uttrycket för de 2 nollställen du kommit fram till och lös ekvationen på näst sista raden för att hitta det tredje och sista nollstället.
Hej Päivi.
Den undre raden har inget med den övre raden att göra (se bild), mer än att det är två ekvationer som råkar ha samma lösning. Använd istället samma metod som i din andra tråd för att lösa ekvationen.

-----------
Alternativ metod om du tycker att subtraktionen i exponenten förvirrar:
Skriv först om till med hjälp av potenslagen .
Ekvationen blir då och du kan lösa den genom att först multiplicera hela ekvationen med , förenkla och sedan upphöja båda leden till
Yngve skrev :
Hej Päivi.
Den undre raden har inget med den övre raden att göra (se bild), mer än att det är två ekvationer som råkar ha samma lösning. Använd istället samma metod som i din andra tråd för att lösa ekvationen.

-----------
Alternativ metod om du tycker att subtraktionen i exponenten förvirrar:
Skriv först om till med hjälp av potenslagen .
Ekvationen blir då och du kan lösa den genom att först multiplicera hela ekvationen med , förenkla och sedan upphöja båda leden till
Nu förstår jag inte Dig, hur du menar, Yngve!
Edit
Det besvärliga är Nu, hur man ska ställa upp det hela vänster ledet. Såg du hur jag gjorde och jag tycker inte att det går multiplicera så.
Päivi skrev :Det besvärliga är Nu, hur man ska ställa upp det hela vänster ledet. Såg du hur jag gjorde och jag tycker inte att det går multiplicera så.
Hej Päivi.
Jag önskar att du kunde vara lite mer noggrann när du läser mina tips och när du skriver dina matematiska uttryck.
1. Jag skrev att kan skrivas som , men du skrev (rödmarkerat på rad 2 i bilden).
2. På rad 3 har du fått tillbaka rätt exponent i nämnaren, men när jag i mitt förslag skrev att du ska multiplicera med så upphöjer du istället vänsterledet till och högerledet upphöjer du istället, först till x och sedan till (n-2), vilket är samma sak som att upphöja högerledet till . Jag har markerat detta i magenta på rad 3.
Du gör alltså inte alls som jag skriver och framför allt, du gör olika saker med vänster- och högerledet.

Det här är alls inget magiskt. Det är en enkel ekvation som du löser på ett standardiserat sätt som du är väl bekant med. Multiplicera med nämnaren för att bli av med den:
Multiplicera med nämnaren :
Förenkla:
Upphöj båda leden till :
Multiplicera ihop exponenterna i vänsterledet och förenkla:
Och så vidare...
Jag hade glömt radera det som du tog fram där. Felet satte där.
Päivi skrev :
Jag förstår inte riktigt om det var en fråga eller inte Päivi?
Jo, det var en fråga. Det går inte få ihop så om man multiplicerar så som du har visat.
Päivi skrev :Jo, det var en fråga. Det går inte få ihop så om man multiplicerar så som du har visat.
Jo det går visst. Det är en vanlig förenkling där du förkortar med , se bild:
Ja, nu förstår jag. Tänkte inte på förkortning där, Yngve. Då förstår jag
Päivi skrev :
Ja nu ser det bättre ut Päivi.
Nu är det bara en rad som är fel, nämligen den där du skriver .
Det ska vara noll enbart.
Päivi skrev :Det ska vara noll enbart.
Nej det är fel i vänsterledet. Där ska det stå , inte bara .
Ja. Nu är du äntligen framme Päivi!
-----------------------------------------------------------------
Orkar du med att jag sätter dig på prov med ett liknande problem så att du kan visa att du nu behärskar denna metod?
Ja, det får du göra, Yngve!
Jag har laddat min telefon färdigt nu. Jag hade dåligt med batterier nyss.
Päivi skrev :Ja, det får du göra, Yngve!
Jag har laddat min telefon färdigt nu. Jag hade dåligt med batterier nyss.
OK.
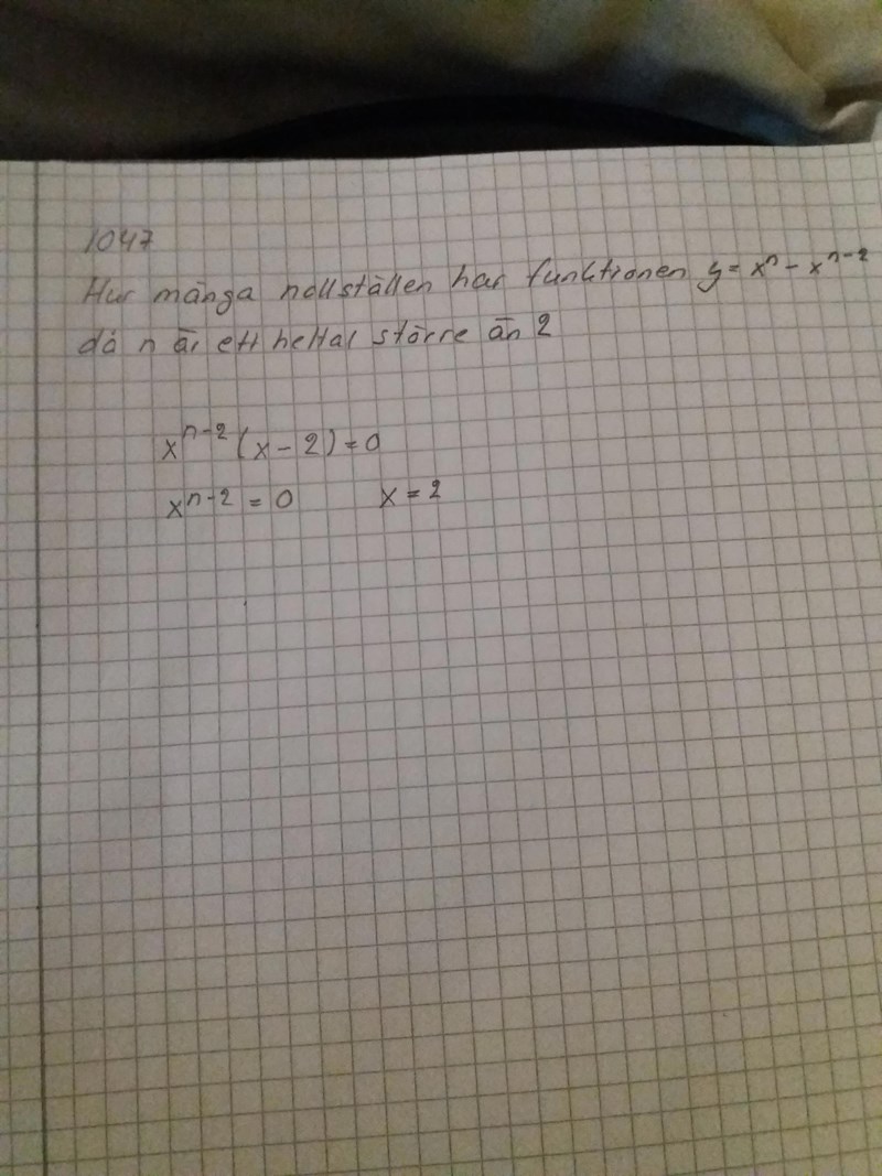
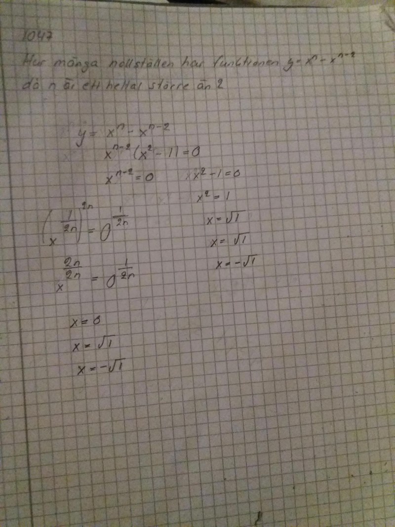
Hur många nollställen har funktionen då n är ett heltal större än 2?
Vänta gör kontroller
Tre noll ställen.
Päivi skrev :Tre noll ställen.
Det gäller att vara noggrann hela vägen.
Kontrollera din faktorisering precis i början.
Jag har problem med potens faktoriseringen.
X^n-2 ( x -2x^2 +1)
Verkar tokigt
Inom parentesen blir det
-x^2+1= 0
x^2= 1
X=+/- roten ur 1
Sedan har vi kvar sista. Nu har vi x ^n-2
Det kanske går ändå.
Vänta
Yngve skrev :
(med risk för att röra till det:)
Resonemanget ovan kan verka rätt, men som det står förutsätter det att man kan dela med 0.
Jag tycker det är mer rätt fram att inse att följande gäller :
För alla positiva tal a gäller att om
x^a = 0
så är x = 0.
I det här fallet är (n - 2) ett positivt tal, så då är
x = 0
om
x^(n - 2) = 0.
Dr. G skrev :(med risk för att röra till det:)
Resonemanget ovan kan verka rätt, men som det står förutsätter det att man kan dela med 0.
Ja, jag insåg det efter att jag postade svaret.
Jag tycker det är mer rätt fram att inse att följande gäller :
För alla positiva tal a gäller att om
x^a = 0
så är x = 0.
I det här fallet är (n - 2) ett positivt tal, så då är
x = 0
om
x^(n - 2) = 0.
Jag tycker att jag försökte den vägen, men jag tror att Päivi blev förvirrad av subtraktionen i exponenten. Jag försökte även en substitution k = n-2 för att slippa subtraktionen.
Päivi, din faktorisering är olika varje gång och den är fortfarande fel.
Det sista du skrev stämmer inte.
Ett bra tips är att när du har gjort en faktorisering så ska du multiplicera ihop faktorerna igen och se att du då får tillbaka ursprungsuttrycket.

Du skriver här att kan faktoriseras till .
Nu tycker jag att du ska kontrollera detta genom att multiplicera ihop med och se om produkten då verkligen blir .
Om det inte blir det så har du gjort fel någonstans och det är bara att börja om och försöka igen.
--------------------------------------------------
OBS! Ta för vana att göra denna kontroll varje gång du har gjort en faktorisering. Det är inte svårt, det tar inte lång tid och det kommer att hjälpa dig att undvika många onödiga slarvfel.
-------------------------------------------------
Jag klarar inte av faktorisera potenser.
Jag behöver hjälp även med denna uppgiften också eller måste jag vänta till tisdag mef den också?
Om du följer alla råd du får skulle det gå betydligt bättre.
Päivi skrev :Jag behöver hjälp även med denna uppgiften också eller måste jag vänta till tisdag mef den också?
Uppgiften lyder:
Hur många nollställen har funktionen , då n är ett heltal större än 2?
Eftersom du har svårt för exponenter så förenklar vi problemet genom att vi kallar för A.
Eftersom så gäller att
Eftersom så gäller att
Vi kan då skriva funktionen som .
Vi ser nu att A är en gemensam faktor i alla termer, så vi kan bryta ut den:
Eftersom så kan vi skriva ekvationen som
Nollställena hittar vi om vi löser ekvationen , vilket nu alltså är samma sak som att lösa ekvtionen .
Med hjälp av nollproduktmetoden inser vi då att det finns två olika alternativ:
Alternativ 1: , dvs att . Detta ger oss lösningen .
Alternativ 2: . dvs att , dvs att .
--------
Nu sammanställer vi dessa lösningar:
Svar: Funktionen har nollställen och .
Hängde du med i alla steg på den lösningen Päivi?
Jag återkommer, när jag har skrivit först det andra. Det tar lite tid.
Yngve skrev :Päivi skrev :Jag behöver hjälp även med denna uppgiften också eller måste jag vänta till tisdag mef den också?
Uppgiften lyder:
Hur många nollställen har funktionen , då n är ett heltal större än 2?
Eftersom du har svårt för exponenter så förenklar vi problemet genom att vi kallar för A.
Eftersom så gäller att
Eftersom så gäller att
Vi kan då skriva funktionen som .
Vi ser nu att A är en gemensam faktor i alla termer, så vi kan bryta ut den:
Eftersom så kan vi skriva ekvationen som
Nollställena hittar vi om vi löser ekvationen , vilket nu alltså är samma sak som att lösa ekvtionen .
Med hjälp av nollproduktmetoden inser vi då att det finns två olika alternativ:
Alternativ 1: , dvs att . Detta ger oss lösningen .
Alternativ 2: . dvs att , dvs att .
--------
Nu sammanställer vi dessa lösningar:
Svar: Funktionen har nollställen och .
Hängde du med i alla steg på den lösningen Päivi?
Nu tittar jag på det här, Yngve. Det kan hända att jag har frågor.
Uppgiften lyder:
Hur många nollställen har funktionen y=xn−2xn−1+xn−2yxn2xn1xn2, då n är ett heltal större än 2?
Eftersom du har svårt för exponenter så förenklar vi problemet genom att vi kallar xn−2xn2 för A.
Eftersom xn=x2⋅xn−2xnx2xn2 så gäller att xn=x2⋅Axnx2A
Eftersom xn−1=x⋅xn−2xn1xxn2 så gäller att xn−1=x⋅Axn1xA
Päivi skrev :Uppgiften lyder:
Hur många nollställen har funktionen y=xn−2xn−1+xn−2yxn2xn1xn2, då n är ett heltal större än 2?
Eftersom du har svårt för exponenter så förenklar vi problemet genom att vi kallar xn−2xn2 för A.
Eftersom xn=x2⋅xn−2xnx2xn2 så gäller att xn=x2⋅Axnx2A
Eftersom xn−1=x⋅xn−2xn1xxn2 så gäller att xn−1=x⋅Axn1xA
Var det här en fråga Päivi?
I så fall förstod jag inte den.
Päivi skrev :
Det här pappret som jag nu visar. Jag försökte kopiera, men misslyckades.
Päivi skrev :Päivi skrev :
Det här pappret som jag nu visar. Jag försökte kopiera, men misslyckades.
Den kommer av potenslagen
Eftersom så gäller att . Är du med på det?
Och eftersom vi har kallat för så gäller alltså att . Är du med på det?
Päivi skrev :
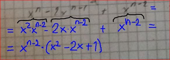
Jag vill faktorisera de tre termerna , och genom att bryta ut största möjliga gemensamma faktor, vilket är .
När jag faktoriserar termen så dyker upp som en faktor eftersom
finns alltså inte med explicit i ursprungsuttrycket , men det finns med som en "dold" faktor i första termen.
-------------
Det här är inte konstigare än att uttrycket kan faktoriseras till .
Här "dyker det upp" både talet 4 och talet 5 som inte är med i ursprungsuttrycket.
Men de finns med som "dolda" faktorer i 12 respektive 15, på samma sätt som finns med som "dold" faktor i .
---------------
Här är en förklaring till faktoriseringarna, som alla baserar sig på potenslagen :

Jo, jag har förstått Yngve!
Som extra tydligt svar på det jag tror var din fråga:

Här är en, tycker jag, tydlig beskrivning av hela faktoriseringen, utan att gå vägen över A:

Jag blir förbannad på telefonen. Din bild hoppar hela tiden.
Tack Yngve för detta!
Som jag sa till Dig Yngve att jag kommer titta på detta när jag hade skrivit färdigt.
Päivi skrev :Jag blir förbannad på telefonen. Din bild hoppar hela tiden.
Varför läser du inte från datorn?
Den andra telefonen är bättre. Jag läser sällan från dator. Jag borde starta om routern.








