Problematiskt (Hur ska jag tillvtillväga med detta?)


Hur ska jag komma på det? Finns det med tråd till detta.
Päivi skrev :Hur ska jag komma på det? Finns det med tråd till detta.
Ledtråd till a-frågan:
Nollställ hjärnan och frigör dig en liten stund från begreppen polynom och nollställen.
Frågan lyder istället helt enkelt:
- Kan du kan komma på ett sätt att (med hjälp av de fyra räknesätten) kombinera talen 1 och 5 så att du får fram talet -6?
- Kan du kan komma på ett sätt att (med hjälp av de fyra räknesätten) kombinera talen 1 och 5 så att du får fram talet 5?
a) Vilka räknesätt kan du använda för att få svaret -6 om du börjar med siffrorna 1 och 5?
Vilka räknesätt kan du använda för att få svaret 5 om du börjar med siffrorna 1 och 5?
Det var en lustig sak. Jag var inne i polynom och hade jätte svårt kunna begripa vad detta handlar om. Varför ska man sätta sådana här räkningar som inte hör hemma till det Här? Jag var helt borta. Det är själv klart att jag tänker på polynom o och inget annat. A uppgiften lär jag veta svar på direkten. Jag ska kolla om jag jag kan lösa b uppgiften.
Jag har även läst Magdalenas inlägg.
Ja
1*-6 =-6
6-12=-6
1-7=-6
-9+3=-6
12/-6=-6
-5-1=-6
--------------
1+4=5
2+3=5
2,5*2=5
25/5=5
-6+11=5
-1*-5=5
Det finns hur mycket som helst
Du skall BARA använda dig av siffrorna 1 och 5, och använda varje siffra exakt en gång i varje uträkning.
Ok, det var så det var menat
-5-1=-6
6-1=5
5*1=5
5/1=5
Menas det någonting mellan 1till 5 eller är det bara siffran 1 och 5 som får användas?
Päivi skrev :-5-1=-6
Ja det är den som avses (eller egentligen -(5+1).
5*1=5
Ja det är den som avses.
Menas det någonting mellan 1till 5 eller är det bara siffran 1 och 5 som får användas?
Det har varit tydligt hela vägen att det är talen 1 och 5 som ska användas. Dessutom har Smaragdalena nyligen uttryckligen svarat på den frågan här ovan.
Päivi skrev :Varför ska man sätta sådana här räkningar som inte hör hemma till det Här?
Jo de hör hemma här. Förhoppningsvis kommer du inom kort att inse hur och varför.
Jag har en lustig matte bok som inte liknar någon annan. På ett sätt så är den bra. Man får lära sådant som inte tas upp i andra läroböcker. Den är intressant.
Är det samma sak med b uppgiften att -2 och- 6 får användas, ska man på något sätt få resultatet 8 och 12?
Ja, precis.
(-2)*(-6)=12
-(-2-6)=8
C uppgiften förstår jag inte, vad som menas eller vad man skulle göra här.
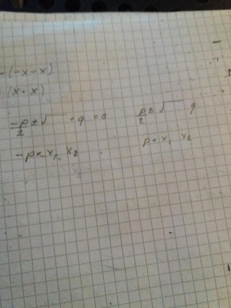
-px/2 +/-roten ur
Vill ha ledtråd
Päivi skrev :(-2)*(-6)=12
Det stämmer.
-(-2-6)=8
Ja. Eller egentligen ska det vara -((-2) + (-6)).
C uppgiften förstår jag inte
Tänk dig att du har två lösningar, x = a och x = b. Gör på precis samma sätt för att kombinera a och b till p och q som du gjorde med 1 och 5 för att få fram -6 och 5 respektive med -2 och -6 för att få fram 8 och 12. Hur blir det då?
Päivi skrev :C uppgiften förstår jag inte
Om du kallar rötterna för och och koefficienterna för och så ska du, baserat på dina upptäkter från a- och b-uppgiften, försöka formulera ett samband mellan och och å ena sidan och ett annat samband mellan och och å andra sidan.
Exempel: I a-uppgiften var , , och .
Där hittade du sambanden och .
Uttryck nu dessa två samband med hjälp av , , och istället för siffror.
Gör samma sak med talen från b-uppgiften. Se om du hittar ett mönster.
Det här var besvärligare
Päivi skrev :Det här var besvärligare
Gör bara som jag beskrev i mitt senaste svar.
-(x-x)
x*x
Päivi skrev :-(x-x)
x*x
Bra Päivi.
Men det ska väl stå -(x+x)
Skriv nu in även p och q så att det blir samband och inte bara uttryck.
Kalla nollställena x1 och x2.
Nu förstår jag inte.
Päivi skrev :Nu förstår jag inte.
Töm hjärnan och glöm pq-formeln för en liten stund Päivi.
Samband 1:
Uppgift: Skriv detta samband med symboler istället.
Samband 2:
Uppgift: Skriv detta samband med symboler istället.
------------
De symboler du ska använda är:
- , som har värdet
- , som har värdet
- , som har värdet
- , som har värdet
Hej Päivi,
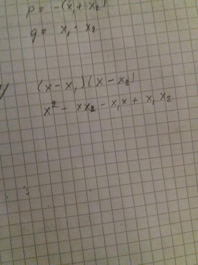
Du har kommit fram till att du i uppgift a) och b) kunde multiplicera och för att få q samt att du kunde lägga ihop för att få p. Innan du går vidare är det bra om du sammanfattar det, ungefär så här:
Rötterna och till ekvationen verkar uppfylla
Sista frågan (uppgift d)) är om det alltid är så eller om det bara var en slump att det blev rätt för dina ekvationer i uppgift a) och b)
D uppgift svarar jag att det är alltid så.
Ja, det är rätt, det är alltid så. Men man måste visa att det är så matematiskt, annars kan man ju fuska!
Sedan tidigare vet du att man kan uttrycka en andragradsekvation med rötter och som:
Vad får vi om vi multiplicerar ihop parenteserna? Kan du identifiera p och q i uttrycket du får?
(x - x)( x-x)= x^2 -2x +x^2
Ja, det är nästan rätt Päivi, men det är viktigt att du skiljer rötterna åt. Det blir lite krångligt med att allt heter x-något, men var noga med att skilja på (utan en siffra) och . Så här
Är du med på det?
Päivi skrev :(x - x)( x-x)= x^2 -2x +x^2
Nu blev det här obegripligt. Du har 3 olika saker som du betecknar med x allihop. Antingen kan du använda formeleditorn och skriva och sedan multiplicera ihop det, eller om det är för besvärligt kan du kalla de båda rötterna a och b så att uttrycket blir (x-a)(x-b) och multiplicera ihop det.
Andragrads ekvation får man.
Vad lustig min telefon är. Jag väntade på svar och såg ingenting och helt plötsligt var det två redan som hade svarat.
Bra Päivi, nu ser vi tydlig skillnad på och !
Vi ordnar om uttrycket lite genom att notera att
Då får man
Känner du igen något p eller q här (titta på sambanden för p och q som du vill visa)?
Inom parentesen har vi p och till höger multiplikation har vi q
Päivi skrev :Inom parentesen har vi p och till höger multiplikation har vi q
Just det!
För att vara tydlig gör jag parenteser under för att visa vad som är p och vad som är q
Alltså har vi visat att ekvationen kan skrivas om som där och
Jag tackar Dig, Guggle väldigt mycket och även Magdalena och Yngve som har varit med. Jag har läst allting.


