problemlösning avståndsformeln
En triangel är inskriven i ett koordinatsystem och har sina hörn i punkterna (1,2), (-2,1) och (2,-1). Du ska avgöra om denna triangel är likbent med matematiska uträkningar. Har jag tänkt och gjort rätt här?
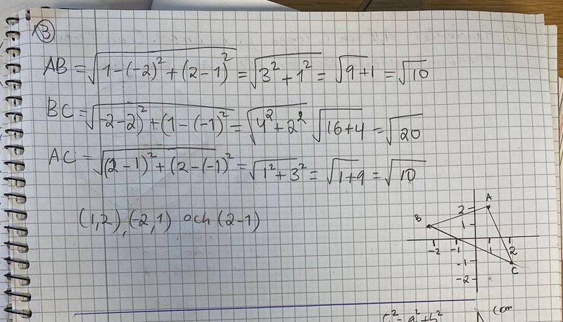
Du gör teckenfel under rottecknen för alla sidorna.
T ex (-2-1)2 = (-3)2 = 9.
AC har knappast den imaginära längden .
Ta inte fram närmevärden utan jämför de exakta värdena (rotuttrycken).
Redan i figuren ser du att triangeln är likbent med AB = AC.
Detta eftersom sidorna är hypotenusor i kongruenta rätvinkliga trianglar med kort katet 1 och lång katet 3.
Från A till B går du tre steg åt höger och ett steg uppåt.
Från A till C går du ett steg åt höger och tre steg nedåt.
Det ger samma längd .
Det räcker därför att jämföra dessa sidor.
Får ändå olika svar på dessa som ska vara likbenta
Du har skrivit (-2, 11) i stället för (-2, 1) i figuren.
Tack nu blev de också Roten ur 10.
Enklare lösning:
AB och de gröna sidorna är en rätvinklig triangel. Gröna sidor är 3 och 1.
AC och de röda sidorna är en rätvinklig triangel. Röda sidor är också 3 och 1.
Alltså är AB och AC lika långa. Klart.

Bubo skrev:Enklare lösning:
AB och de gröna sidorna är en rätvinklig triangel. Gröna sidor är 3 och 1.
AC och de röda sidorna är en rätvinklig triangel. Röda sidor är också 3 och 1.
Alltså är AB och AC lika långa. Klart.
Men uppgifterna inte frågat om mittpunktsformeln? Vi har redan har hörn skriven alltså amount! Jag fått olika resultat BC=5, AB 4.1 och AC 2.8. Jag vet inte om det korrekt eller ej!
mohamedayaanle skrev:Men uppgifterna inte frågat om mittpunktsformeln?
Ingen har nämnt mittpunkter eller mittpunktsformeln.
Vi har redan har hörn skriven alltså amount!
Jag förstår inte. Kan du ta det med andra ord?
Jag fått olika resultat BC=5, AB 4.1 och AC 2.8. Jag vet inte om det korrekt eller ej!
De sträckorna är inte korrekta.
Ja, det där är helt korrekt beräkning av sträckorna. Snyggt och bra.
Ska man vara riktigt petig så saknas en parentes i första kvadratroten. (1 - (-2))^2
