1
svar
92
visningar
Jasmine12 behöver inte mer hjälp
Problemlösning derivata


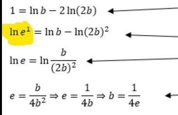
Frågan i helhet är enkel att lösa, jag jag läser högerled korrekt hela vägen. Men vänsterled(där det är markerad i gul) vet jag ej vad som händer. Jag vet att för att "slå ut" ln måste man ta ln på båda sidor, men jag förstår inte riktigt vart e:et kommer ifrån? Kan vara en logaritmlag jag har glömt.
Det är en del av definitionen av logaritmer, precis som att . :)