2
svar
161
visningar
Cactiie behöver inte mer hjälp
Problemlösning geometrisk summa
Hejsan jag har fastnat på en uppgift som vi fick under distansen.

Jag har försökt att börja dock vet jag ej om det är rätt.
Formeln tror jag är:

Jag är mycket tacksam för förslag!
Siffran 3 bör sättas utanför summaformeln, annars kommer du addera 3 för varje term "n"
I övrigt ser formeln bra ut, förslagsvis kan summaformeln gå från startvärdet 0 istället för 1, då blir exponenten till 0,5 enbart "n"
Tack så mycket för hjälpen! Lyckades lösa den nu.

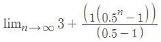
Därmed sätter jag Lim n går mot oändligheten och byter ut den geometriska summan

Jag får tillslut 3 + 2 som blir 5 vilket betyder att trädets blir max 5 m