Problemlösning komplexa tal
Antag att det komplexa talet z är sådant att ∣z−c∣=c, där z ≠ 0 och c är ett reellt tal större än noll. Visa Re(1/z)=1/2c

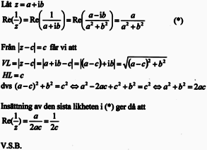
Jag kom fram till där det står "dvs ...=c^2" i facit, sen förstår jag inte varför dem fortsätter så?
Menar du den gulmarkerade delen?

I så fall är förklaringen att de kvadrerar ekvationen , vilket ger första ekvationen på den gulmarkerade raden. Sedan använder de första kvadreringsregeln på första termen och förenklar till
Yngve skrev:Menar du den gulmarkerade delen?
I så fall är förklaringen att de kvadrerar ekvationen , vilket ger första ekvationen på den gulmarkerade raden. Sedan använder de första kvadreringsregeln på första termen och förenklar till
Den delen förstår jag men hur kopplar dem det till det sista. hur blir a=1??
Vi ser att a är en faktor i både täljaren och nämnaren. Då tar ju a:et i täljaren och a:et i nämnaren ut varandra.
bolibompa skrev:Den delen förstår jag men hur kopplar dem det till det sista. hur blir a=1??
a blir inte lika med 1.
I sista steget förkortar de med a, vilket är OK om det inte finns någon möjlighet att a = 0.
Den möjligheten bör undersökas innan förkortning sker.
z=c+ceia
Invertera och gör reellt genom att förlänga med konjugatet
(Men cos a = så )
=
Där realdelen är 1/2C
hansa skrev:z=c+ceia
Invertera och gör reellt genom att förlänga med konjugatet
(Men cos a = så )
=
Där realdelen är 1/2C
Jag förstår nu tack!