Problemlösning med ekavationer (åk 8 röd kurs (uppgift 30 a ))
Alf tänker på ett tal . Han multipecerar talet med 4 och dividerar med 5 han adderar sedan talet med 8 och får summan 32. vilket är talet? lös med ekvation
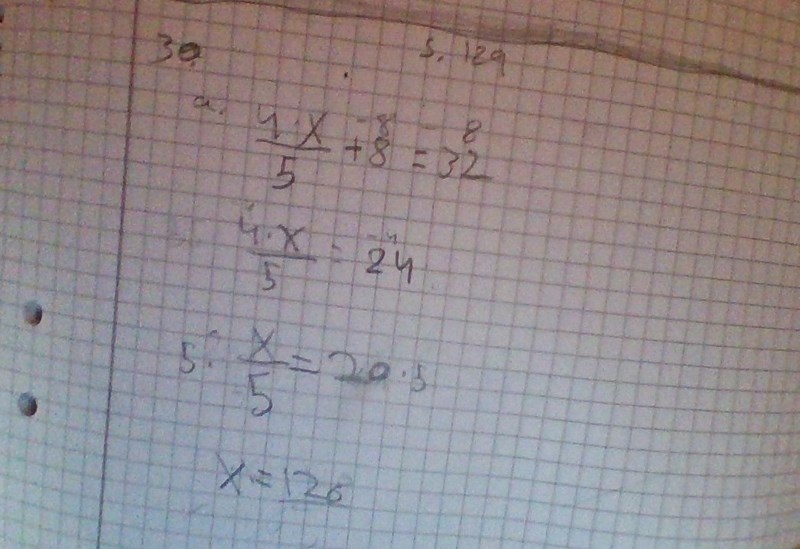
jag har räknat så där: men svaret ska vara 30
på andra raden ska du dela med 4 i bägge led.
Du verkar dela med 4 i vänstra ledet men subtrahera i höger led
borde bli x/5 = 6
Ture skrev:på andra raden ska du dela med 4 i bägge led.
Du verkar dela med 4 i vänstra ledet men subtrahera i höger led
borde bli x/5 = 6
jag subtraherade i både leden
Då gjorde du fel på vänster sida istället!
När du har en produkt som går det inte att subtrahera något från den utan för att bli av med 4an måste du dividera med 4 istället
jag förstår forttfarrande inte
du har
För att bli av med 4 i vänstra ledet, dela bägge led med 4
som vi kan förenkla till
så är det här svaret
Nej, vi måste ha x ensamt på ena sidan
Multiplicera bägge led med 5
Ture skrev:Nej, vi måste ha x ensamt på ena sidan
Multiplicera bägge led med 5
jag har redan gjort det