3
svar
189
visningar
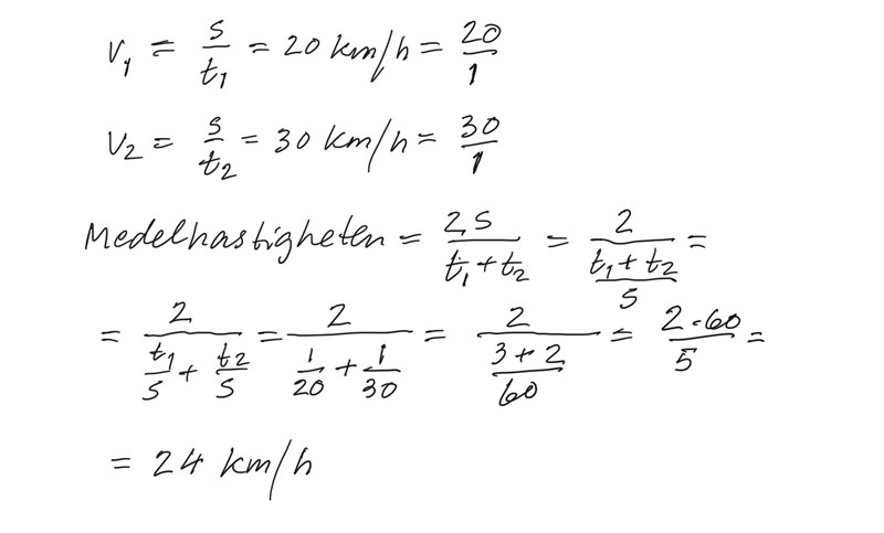
Problemlösning med ekvation 2275
jag tänkte att man kunde ta 20+30 och sedan dela det på två, alltså 50/2=25, men svaret är 24. Jag förstår inte hur de kom fram till det.
tack på förhand!
Det beror väl på hur länge hen cyklade? Anta att backen är 60 km lång för att göra matematiken enklare.

