Problemlösning med integralberäkning
Hej, har skrivit om denna uppgift i en tidigare tråd men kände inte att jag fick ett ordentligt svar då jag fortfarande inte förstår den:

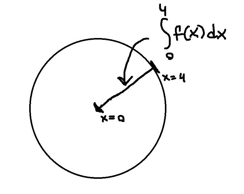
Jag klurar över fråga c. Min första tanke:
Antal personer som bor inom 4 km från centrum: .
Enligt facit:
VARFÖR ska man ta hänsyn till 2*pi*x? Dvs. cirkelns area. Har cirkeln ens något med uppgiften att göra?
Tack på förhand!
Vad du har bestämt är befolkningsmängden som finns längs en linje från centrum.
Hela cirkelskivan utgörs dock av flera sånna linjer från centrum till randen.
Kanske mitt svar i https://www.pluggakuten.se/trad/antal-invanare-i-cirkelring/ kan vara till hjälp?
Ett sätt att integrera över hela cirkeln är att man summerar cirklar med olika radier så att hela cirkelskivan täcks eftersom befolkningstätheten vid varje radie är konstant. Befolkninstätheten anges i (1000 invånare)/(kvadratkilometer). För att enheten ska bli (invånare) måste man multiplicera f(x) med en area, den arean man multiplicerar med ges av det område som är markerat blått i figuren.
Jag tror inte riktigt jag förstår. Jag har 2 frågor:
Varför blir det fel om man räknar med befolkningen från centrum till x = 4 på just den "linjen"? Om de frågar "hur många personer bor inom en radie av 4km räknat från centrum?" menar de då arean för en cirkel med radien 4 km?
Jag förstår att då f(x) multipliceras med en area kommer enheten bli invånare, vilket vi söker. Men är tanken inte att f(x) ska integreras så att enheten försvinner. Om f(x) integreras 2 gånger kommer den gå från invånare/km^2 till invånare/km till invånare? Varför måste man multplicera med f(x) med en area INNAN integrering?
För att svara på din första fråga: Ja. Inom en radie av 4 km menas alla punkter som ligger inom 4 km, då får man en cirkelskiva med radien 4 km. Cirkelskivan består av en cirkel med radien 4 km och alla punkter innanför.
För att svara på din andra fråga: Vi integrerar inte två gånger, vi integrerar endast en gång. Det som är annorlunda är sakerna vi summerar. Så som de gjort i facit är att vi summerar cirklar för att täcka hela cirkelskivans area.
Och vi behöver multiplicera f(x) med en area för att få invånarna på den arean. Anledningen till att vi multiplicerar innan integreringen är eftersom omkretsen varierar map. x. Varje cirkel som vi summerar har en unik omkrets som beror på x och en unik befolkningstäthet som även den beror på x. Då för att få rätt antal invånare på en cirkel behöver vi skriva integralen som vi gör.