Projektion
Försöker förstå mig på själva konceptet av projektion. Jag har tidigare postat följande fråga och fått hjälp;
men känner att jag inte riktigt förstår varför vissa steg behöver göras i uträkningen.
Jag har gjort på detta sätt enligt lärarens förslag;

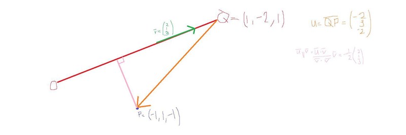
Det steget jag fastnar på är när jag gjort projektion av , den rosa linjen. När jag hittat projektionen tänker jag att det blir punkten R på linjen L som jag hittade.
Men sedan ska jag ta för att hitta närmaste punkten, men är det inte den punkten man hittar med projektion? Eller vad är det jag egentligen får fram med projektion?

Man kan tänka på projektion som att lysa med en lampa. Projektionen är då skuggan. Så du får skuggan av u på v. Det är ingen punkt utan en vektor, med samma riktning som v.
Okej, nu börjar det klarna, tack!
Dock undrar jag över , dvs R-O, där lösningsförlsaget säger
men ska det inte vara + mellan istället pga av två minustecken?
Ett alternativt sätt att resonera är följande:

(Notera att jag inte använder punkten O):
Sökt avstånd .
Pytagoras: ,
där vektorn är projektionen av på L (dvs på )
Edit: Lägg märke till att min figur är principiell. Kalkylerna säger ju, att och är motriktade. Någon lustigkurre sa: "Geometrin är är vetenskapen, att med felaktiga figurer dra korrekta slutsatser".