Projektion av en linje på ett plan
Hej!
Jag behöver bestämma den ortogonala projektionen av linjen L1 på planet Π, där
Jag tänkte direkt applicera formlen för ortogonal projektion av en vektor på ett plan
där är linjens riktningsvektor, men det är tydligen fel, i facit tar de som en vektor där är (0,5,0), jag brukade alltid använda denna formel för liknande frågor och fick alltid rätt, men nu är jag väldigt förvirrad över att det inte är linjens riktningsvektor som stoppas in!
Att projicera en linje är inte riktigt samma sak om att projicera en vektor. Kanske har du blandat ihop något? Vad händer t.ex. med linjevekorn när . Vad blir projektionen då?
Det vore också bra om du kunde ta en bild på ditt eget försök samt facit. Med de knapphändiga uppgifter du gav får man intrycket att du projicerat linjens riktningsvektor på planet.
D4NIEL skrev:Att projicera en linje är inte riktigt samma sak om att projicera en vektor. Kanske har du blandat ihop något? Vad händer t.ex. med linjevekorn när . Vad blir projektionen då?
Det vore också bra om du kunde ta en bild på ditt eget försök samt facit. Med de knapphändiga uppgifter du gav får man intrycket att du projicerat linjens riktningsvektor på planet.
Vad är skillanden mellan projektion av en vektor och projektion av en linje?
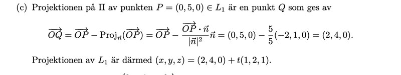
Jag får att linjens projektion på planet har samma riktning som den ursprungliga, men vet inte riktigt hur de man kan hitta punkten (2,4,0).


PATENTERAMERA skrev:
Jaha! det känns lite tydligare nu, Men hur kan man hitta projektionen av punkten P på planet då? Uppskattar hjälpen!
Man kan använda formeln du försökte använda från början, fast på lägesvektorn
D4NIEL skrev:Man kan använda formeln du försökte använda från början, fast på lägesvektorn
Jag förstår! Tack så jättemycket för hjälpen!
En sista fråga bara, gäller denna formel för lägesvektorn just för att planet går genom origo? Dvs skulle vi kunna applicera den för att hitta punkten P även om den var t.ex ?

