2
svar
122
visningar
Katnisshope behöver inte mer hjälp
protiener
hej!
jag undrar vad det syftar på när man säger att R är sidokedjan som skiljer alla 20 aminosyror åt
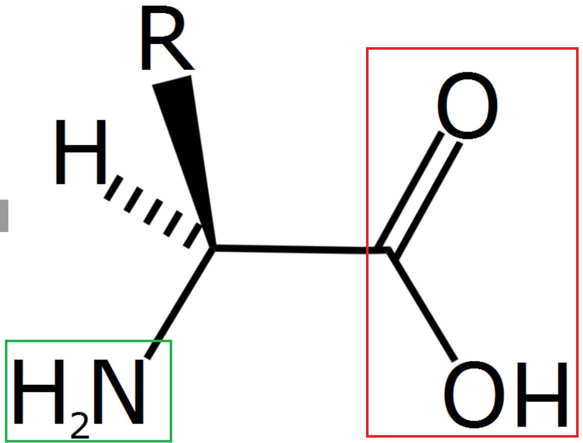
Aminosyrorna berstår av en aminogrupp (grön) samt en karboxyl(syra)grupp (röd), vilket ger dem namnet.
Det som utmärker dem, ger dem olika egenskaper, är sidokedjan som kallas R.

I fenylalanin är R en fenylgrupp:

I cystein är R en sulfhydrylgrupp.

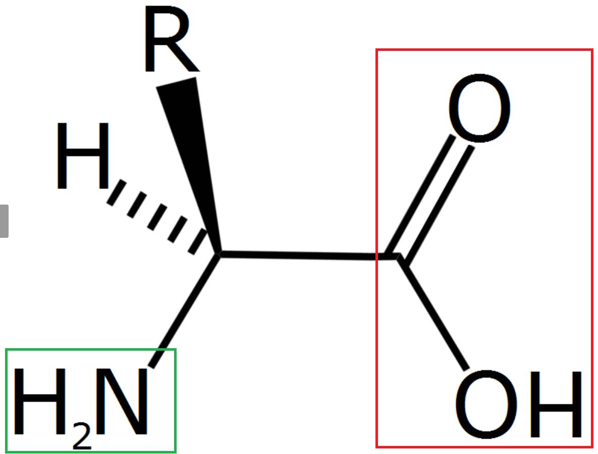
sictransit skrev:Aminosyrorna berstår av en aminogrupp (grön) samt en karboxyl(syra)grupp (röd), vilket ger dem namnet.
Det som utmärker dem, ger dem olika egenskaper, är sidokedjan som kallas R.
I fenylalanin är R en fenylgrupp:
I cystein är R en sulfhydrylgrupp.
tack


