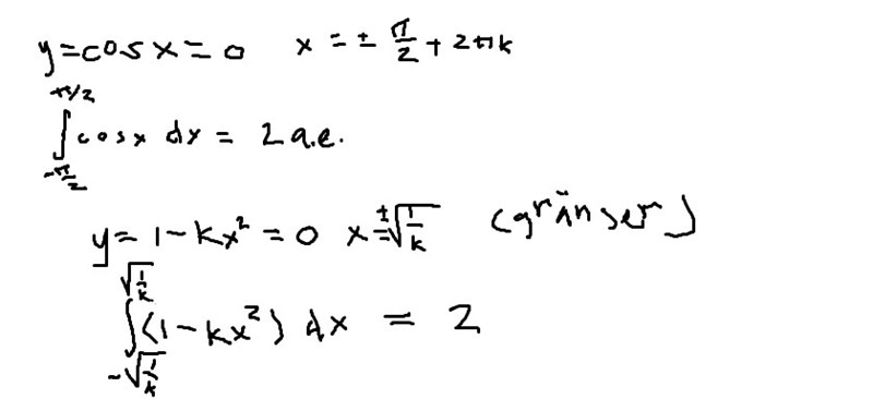
Provfråga 12, "Funktionen y = cosx approximeras med y = 1 - kx^2 så areorna.."

Jag räknar ut arean för y = cos x vilket blir 2 a.e. Men sen vet jag inte riktigt.. Ska kan hitta en primitiv till den approximativa funktionen y = 1 - kx^2 -> x - (kx^3)/3 men sen vet jag inte riktigt. Ska jag ta fram nollställena för y = 1 - kx^2 ?
Ja, precis. Hitta nollställena och integrera från det ena till det andra. Du vet vad integralen ska bli.

Ber om ursäkt för kråkfötterna.. Är tillvägagångssättet rätt? För jag räknade ut det på det här sättet och svaret stämde inte, så antingen tänker jag fel eller så har jag slarvat mig. Förhoppningsvis det senare.
Vad får du för primitiv funktion till din integral?
Vad blir de när du sätter in integrationsgränserna och förenklar?

Är jag på rätt väg?
class skrev :
Nästan.
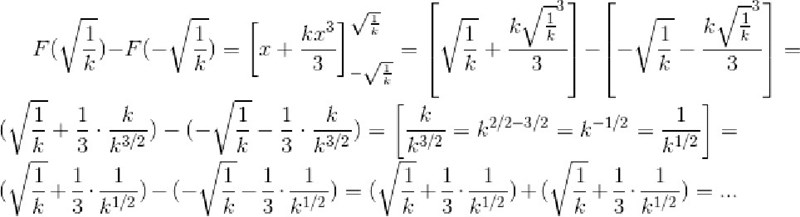
Först skrev du primitiva funktionen korrekt som ovan med minustecken mellan termerna, men sen bytte du till x + k*x^3/3 i uträkningen. Ändra det och gör om samma uträkning.
Sen kan du utnyttja att
Om du vill kan du förenkla genom att se att funktionen är symmetrisk kring y-axeln och konstatera att integralens värde är dubbelt så stort som integralen från 0 till
Yngve skrev :class skrev :
Nästan.
Först skrev du primitiva funktionen som ovan, men sen bytte du till x + k*x^3/3 i uträkningen.
Sen kan du utnyttja att
Det var bara för att jag var lat och inte orkade skriva i LaTeX, men förövrigt så stämmer väl uträkningen? Så mycket att hålla koll på..
class skrev :Yngve skrev :class skrev :
Nästan.
Först skrev du primitiva funktionen som ovan, men sen bytte du till x + k*x^3/3 i uträkningen.
Sen kan du utnyttja att
Det var bara för att jag var lat och inte orkade skriva i LaTeX, men förövrigt så stämmer väl uträkningen? Så mycket att hålla koll på..
Du kan skriva för hand som du gjorde tidigare om du vill.
Din senaste uträkning stämmer inte för du har felaktig primitiv funktion.
Men, va? Den primitiva funktionen till 1 - kx^2 är ju x - k(x^3)/3 - jag hänger inte riktigt med vad det är som är fel.
Jag är alldeles för hetsig. Jag ser vad du påpekar. Ber om ursäkt! Ska rätta och räkna igenom!
Jag får k = 4/9 men det blir endast approximativt 2 när jag räknar ut den integralen. Vad gör jag för fel?
class skrev :Jag får k = 4/9 men det blir endast approximativt 2 när jag räknar ut den integralen. Vad gör jag för fel?
Visa dina uträkningar så kan vi hjälpa dig att hitta felet. Avrundning någonstans?
.jpg?width=800&upscale=false)
