2 svar
66 visningar

PS5 - 3

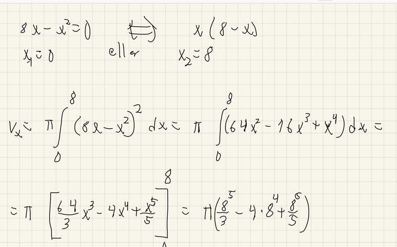
 Är det här rätt svar på V_x? Hur löser jag ut x så att jag kan lösa vad V_y är?

Laguna 32128
Postad: 10 dec 2020 14:26

Skalmetoden.

Smaragdalena 78892 – Avstängd
Postad: 10 dec 2020 14:49

Dualitetsförhållandet, det står i Pluggakutens regler att rubriken skall berätta vad frågan handlar om. Vad betyder "PS5 - 3"? /moderator

Svara
Close