Puck glider upp för ramp (Friktionstal)
Behöver hjälp med denna uppgift:
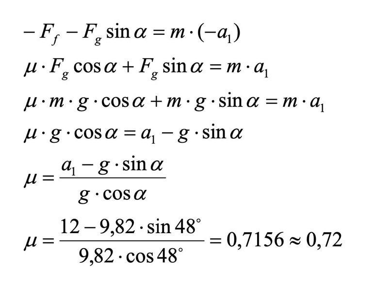
En puck ges utgångsfarten 12 m/s uppför en ramp med lutningen 48 . Pucken glider uppför
rampen i 1,0 s innan den vänder och börjar glida ner igen.
a) Hur stor är friktionskoefficienten mellan rampen och pucken?
b) Vilken acceleration har pucken när den glider nedför rampen?
Jag har kommit i princip hela vägen men förstår inte en sak;
Lösning:

Jag undrar varför accelerationen inte blir negativ eftesom den verkar motsatt med rörelseriktningen.
Jag förstår att den inte ska vara negativ eftersom att friktionstalet inte ska vara negativt.
Kan någon hjälpa mig att förstå varför?
Tack på förhand
Riktningen (tecknet) beror på hur du ritat dina koordinataxlar.
Det viktiga är att du förstår att accelerationen är riktad utmed planet, nedåt.
Annars skulle ju pucken, när den har stannat, plötsligt börja åka uppför planet igen. Det verkar ju konstigt.