5
svar
92
visningar
Katarina149 behöver inte mer hjälp
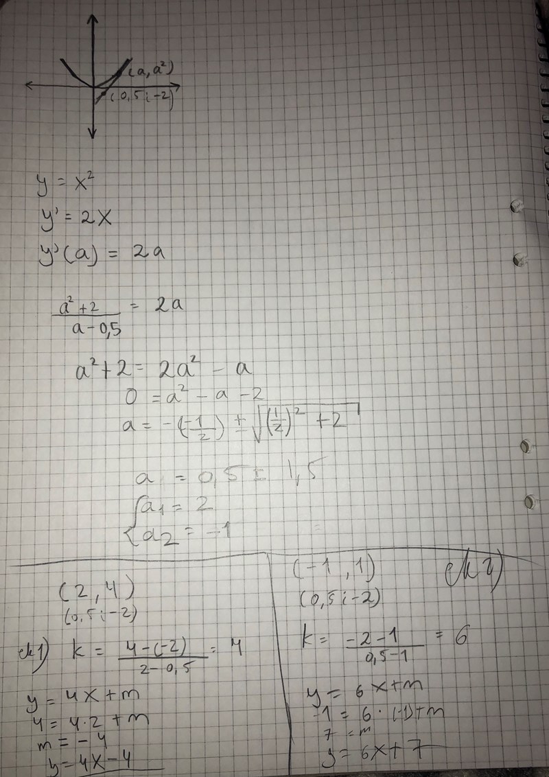
Punkt A
"A är en punkt med koordinaterna (a,a²) som ligger på kurvan y=x². Beräkna tangentens ekvation till kurvan som går igenom punkten A och punkten (1/2,−2)."
Vad gör jag för fel?
Jag hittar två tangenter. Men ekvation 2 är fel.
Ekv 1 är rätt.
På Ekv 2 har du råkat få fram fel k-värde.
Det ska vara .
Okej. Är det rätt nu?

Nu är det ett annat fel.
Kontrollera din uträkning.
Det ska vara y=-2x-1
OK bra.
För att kontrollera om det verkar stämma kan du nu rita in de båda linjerna och parabeln i ett koordinatsystem.
Då bör du rita skalenligt.