1
svar
661
visningar
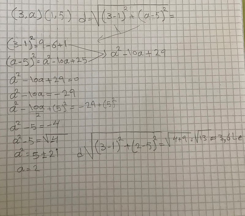
Punkten (3,a) ligger lika långt från origo som från punkten(1,5).
Visa spoiler
Skriv ditt dolda innehåll här
Hej!
Jag har löst problemet, är det stämmer?
eftersom på facit också är a=2.
tack 🙏 för hjälpen.
mitt svar:

Freedom skrev:Visa spoiler
Skriv ditt dolda innehåll här
Hej!Jag har löst problemet, är det stämmer?
eftersom på facit också är a=2.
tack 🙏 för hjälpen.mitt svar:
Det stämmer men jag förstår inte hur du har fått fram svaret.
Du får en funktion för avståndet mellan de två punkterna, sedan sätter du funktionsvärdet lika med 0 och löser det.
Jag gjorde på följande sätt: Vi vet att avståndet från & är samma som avståndet från & . Därmed kan vi teckna en ekvation: