Pythagoras sats
Hej!
Jag har 3 olika frågor jag skulle vilja ha hjälp med. Hur man räknar ut det osv. Har kollat runt på internet men får inte mina uträkningar till att stämma.
En ballong stiger till 530 meters höjd och driver i sidled 745 meter. Hur långt ifrån utgångspunkten är ballongen?
Ange svaret med 2 decimaler.
--------------------------------------------------------------------------------------------
En liksidig triangel har alla sidor 30 mm. Hur stor är höjden?
Ange svaret med två decimaler.
-------------------------------------------------------------------------------------------
En kvadratisk tomt är 210 m². Man ska bygga ett staket runt om. Hur långt blir staketet?
Ange svaret med två decimaler.
Kan du skriva ned din lösning så att man kan se vart felet är/vart du har fastnat.
Natasha97 skrev :Kan du skriva ned din lösning så att man kan se vart felet är/vart du har fastnat.
Problemet är att jag har ingen lösning. Hur jag än försöker räkna ut det så kommer jag ingenstans. Tänkte det var lättare någon visar och förklarar hur man räknar ut det, eller visar lösningen så jag kan förstå.
Te.x uppgift 3.
En kvadratisk tomt på 210 m².
Area = sida*sida .
Vilket kan förenklas Area =sida2.
Sidan i en kvadrat = √ Area
Omkretsen= sida+sida+sida+sida=4× sida .
√210 = 14.49~~~~
57.96 Får jag fram som svar och det är helt fel.
Delar jag triangeln på mitten så jag får en rät vinkel och applicerar metoden jag lärt mig så blir det också fel. Tror jag missförstått alltihopa. Därav vill jag ha det förklarat för mig / visat.
Tack på förhand.
Första uppgiften:
Texten säger att höjden är 530 m och i sidled 745, om du ritar ner detta så ser du att det är en triangel. Om du drar hypotenusan så kan du använda pythagoras sats. Kommer du vidare?
Natasha97 skrev :Första uppgiften:
Texten säger att höjden är 530 m och i sidled 745, om du ritar ner detta så ser du att det är en triangel. Om du drar hypotenusan så kan du använda pythagoras sats. Kommer du vidare?
Har testat det på 2 olika sätt och inte fått fram rätt svar tyvärr. Känner mig ganska värdelös just nu haha.
Andra uppgiften:
En liksidig triangel innebär att alla sidor är lika långa. Om du ritar en triangel och drar en höjd så ser du att höjden delar basen i två delar, varav det bildas två trianglar. Om basen är 30 mm, så blir det 30/2 = 15.mm Du känner till basen och hypotenusan, därav kan du använda Pythagoras sats.
Fajnt skrev :Natasha97 skrev :Första uppgiften:
Texten säger att höjden är 530 m och i sidled 745, om du ritar ner detta så ser du att det är en triangel. Om du drar hypotenusan så kan du använda pythagoras sats. Kommer du vidare?
Har testat det på 2 olika sätt och inte fått fram rätt svar tyvärr. Känner mig ganska värdelös just nu haha.
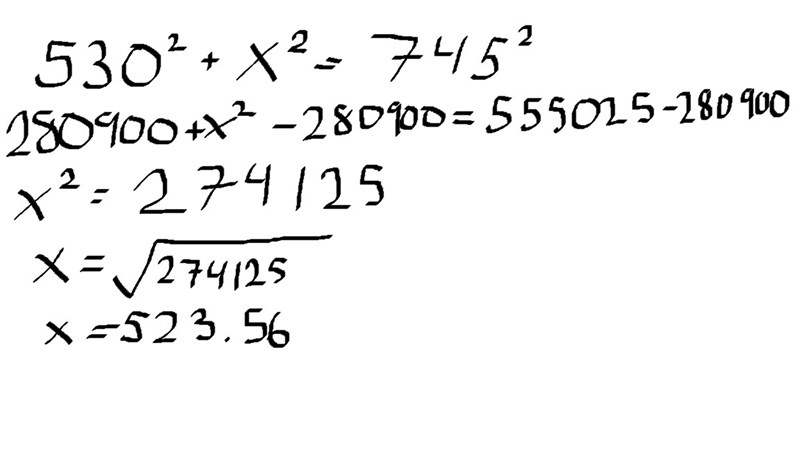
530^2 + 745^2 = x^2
Har du gjort så?
Natasha97 skrev :Andra uppgiften:
En liksidig triangel innebär att alla sidor är lika långa. Om du ritar en triangel och drar en höjd så ser du att höjden delar basen i två delar, varav det bildas två trianglar. Om basen är 30 mm, så blir det 30/2 = 15.mm Du känner till basen och hypotenusan, därav kan du använda Pythagoras sats.
Fick faktiskt fram rätt svar nu.
Tack för hjälpen på den. Måste skrivit fel innan någonstans.
Tredje uppgiften:
Finms det någon bild på uppgiften? Uppgiften efterfrågar längden på staketet och inte längden på en sida. Kommer du vidare?
Gör en tråd för varje fråga i fortsättningen. Det blir mindre rörigt på det sättet.
Natasha97 skrev :Fajnt skrev :Natasha97 skrev :Första uppgiften:
Texten säger att höjden är 530 m och i sidled 745, om du ritar ner detta så ser du att det är en triangel. Om du drar hypotenusan så kan du använda pythagoras sats. Kommer du vidare?
Har testat det på 2 olika sätt och inte fått fram rätt svar tyvärr. Känner mig ganska värdelös just nu haha.
530^2 + 745^2 = x^2
Har du gjort så?

Så här har jag gjort (?) .. :S
smaragdalena skrev :Gör en tråd för varje fråga i fortsättningen. Det blir mindre rörigt på det sättet.
Ska tänka på det till nästa gång, sorry.
Mvh
Fajnt skrev :Natasha97 skrev :Fajnt skrev :Natasha97 skrev :Första uppgiften:
Texten säger att höjden är 530 m och i sidled 745, om du ritar ner detta så ser du att det är en triangel. Om du drar hypotenusan så kan du använda pythagoras sats. Kommer du vidare?
Har testat det på 2 olika sätt och inte fått fram rätt svar tyvärr. Känner mig ganska värdelös just nu haha.
530^2 + 745^2 = x^2
Har du gjort så?
Så här har jag gjort (?) .. :S
Det är dock fel eftersom du har en höjd (dvs. En katet) och en sida (ännu en katet). Du ritar hypotenusan, alltså bör du räkna 530^2 + 745^2 = x^2
Fajnt skrev :
Jag tycker att din beräkning ser rätt ut, vad är svaret i facit?
Natasha97 skrev :Fajnt skrev :
Jag tycker att din beräkning ser rätt ut, vad är svaret i facit?
Har ej facit/boken här, gör på internet nu. Men enligt denna beräkning får jag fram 57.96 i omkrets. Stämmer inte, det minns jag iallafall. Därför gör jag något fel, räknar något fel. Men vet inte vad.

Detta svar har jag noterat att jag fått fram tidigare, inte rätt. Vad gör jag för fel? Tror jag tänkt för mycket idag. Är egentligen ganska lätt.. Haha.
Tror nog det är bäst ifall du gör en ny tråd så att andra har chansen att hjälpa dig, då jag tyvärr inte heller vet hur man går tillväga. Lycka till!
Natasha97 skrev :Tror nog det är bäst ifall du gör en ny tråd så att andra har chansen att hjälpa dig, då jag tyvärr inte heller vet hur man går tillväga. Lycka till!
Tack för hjälpen, testar det.
Ditt svar på uppgift1: 914,28 är rätt (eller borde vara 914,29 efter avrundning av 914,2893415)
Ditt svar på uppgift3: 57,96 är rätt (eller borde vara 57,97 efter avrundning av 57,96550698)
Jag tror att du behöver träna på reglerna för avrundning.
58 meter är ett bättre svar (eller möjligen 58,0 m).
smaragdalena skrev :58 meter är ett bättre svar (eller möjligen 58,0 m).
Men det står att svaret ska anges med två decimaler.
Yngve skrev :smaragdalena skrev :58 meter är ett bättre svar (eller möjligen 58,0 m).
Men det står att svaret ska anges med två decimaler.
Det gjorde det visst, ja. Men dumt är det!
