2
svar
451
visningar
Fajnt behöver inte mer hjälp
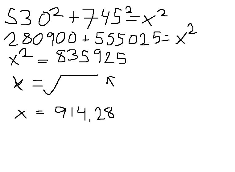
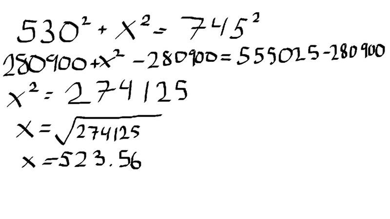
Pythagoras sats
En ballong stiger till 530 meters höjd och driver i sidled 745 meter. Hur långt ifrån utgångspunkten är ballongen?
Ange svaret med 2 decimaler.
Jag har räknat ut på 2 olika sätt då det ena var fel, båda dessa är fel. Hur gör man och vad gör jag för fel?
Tack på förhand.


Det första är rätt, svaret = 914,28 (med rätt avrundning 914,29 avrundat från 914,2893415)
Tack Lars-Olof!