1
svar
126
visningar
villsovaa behöver inte mer hjälp
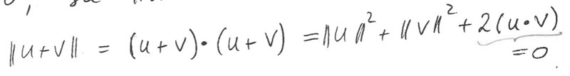
Pythagoras sats med vektorer
Hej,
Varför blir den sista termen lika med noll när man bevisar pythagoras sats för vektorer?
Jag fattade denna, de är ju ortogonala!