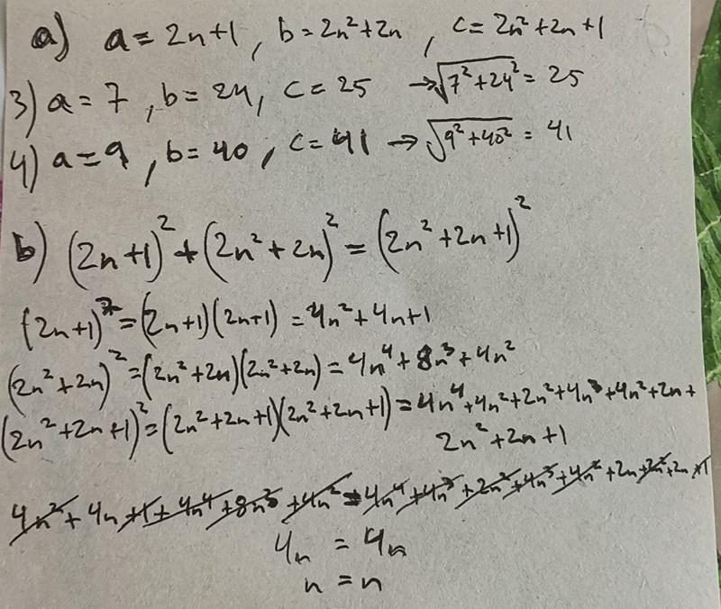
Pythagoreiska tal

Jag behöver hjälp med uppgift c. Kan jag få en ledtråd?
Kan du få fram den pythagoreiska triangeln med sidorna 3, 4, 5?
Smaragdalena skrev:Kan du få fram den pythagoreiska triangeln med sidorna 3, 4, 5?
Roten ur(3^2+4^2)=5
Titta på sidan a=2n+1. Det är ett udda tal. Använder alla Pythagoreiska trianglar såna? Kan du hitta undantag?
M4t3m4t1k skrev:Smaragdalena skrev:Kan du få fram den pythagoreiska triangeln med sidorna 3, 4, 5?
Roten ur(3^2+4^2)=5
Kan du få fram den här triangeln med metoden i uppgiften? För vilket värde på n?
Smaragdalena skrev:Kan du få fram den pythagoreiska triangeln med sidorna 3, 4, 5?
Kan du få fram den här triangeln med metoden i uppgiften? För vilket värde på n?
n=1
Edit:
Några undantag är tex 6,8,10 och 7,24,25
Hur kan du få fram dem? Ett motsatsbevis kräver väl bara att du lyckas hitta ett undantag men hur hittar du dem?
Här är ett annat sätt att få fram denna typ av tal (som inte heller ger alla):
A=2m , B=m^2-1, C=m^2+1 för m>1
Men om man inte vet om några andra sätt än det som nämns i uppgiften ... hur hittar du undantagen?
Jag förstår inte riktigt uppgiften.
Skulle jag kunna få en genomgång av uppgiften
M4t3m4t1k skrev:Jag förstår inte riktigt uppgiften.
Skulle jag kunna få en genomgång av uppgiften
Nej, det är inte så det går till här på Pluggakuten. Om du berättar vad det är du inte förstår så kan vi hjälpa dig vidare därifrån.
Jag var ute och cyklade när jag trodde att man inte fick fram triangeln 3-4-5 med uppgiftens metod, men eftersom a och c alltid blir udda tal med den här metoden, kommer man aldrig att få fram trianglen 6-8-10.
Den här metoden höll jag på att få godkänt för på en matteträning, men läraren kom på sen att det fattades något.
Ok. Hur ska jag genom metoden visa att det finns undantag?
I b) visar jag att när n=n då stämmer metoden.
Och i c) tänker jag att om jag ska visa att metoden inte stämmer. Då måste vi avvika från metoden, genom att två katetrar ska vara lika stora eller tex (1,1,roten ur 2)
Roten ur 2 är då inget positivt heltal.
Som sagt jag vet inte riktigt hur jag ska analysera c) för att kunna ge korrekt svar.
Det räcker att bara hitta en pythagoreisk triangel som man inte kan få fram med hjälp av metoden, t ex en triangel där alla tre sidorna har jämna längder. Då har du visat att det finns en pythagoreisk triangel som inte kommer fram genom metoden.
Pythagoras sats gäller väl för rätvinklig trianglar. Om alla sidor är lika långa, då blir den väl inte rätvinklig.
Smaragdalena skrev:Det räcker att bara hitta en pythagoreisk triangel som man inte kan få fram med hjälp av metoden, t ex en triangel där alla tre sidorna har jämna längder. Då har du visat att det finns en pythagoreisk triangel som inte kommer fram genom metoden.
Jag är inte säker jag förstår vad du menar men en sådan triangel existerar inte som uppfyller kravet för pythagoras sats, iaf inte om vi har valt (a,b,c) så att de är relativt prima.
Exakt en av a eller b är delbar med 2 men aldrig c. dvs c är alltid ett udda tal.
Varför skulle sidorna vara relativt prima? Det står inte i texten att de måste vara det. Triangeln 6-8-10 är pythagoreisk, men man får inte fram den triangeln med den här metoden, vilket är precis vad man skulle visa.
Du har rätt, det finns inget krav att de skall vara relativt prima. Formeln given i uppgiften ger dock endast pythagoreiska tripplar som är relativt prima.
Jag tycker dock uppgiften är lite kass, förväntas man verkligen kunna en massa tripplar när man läser matte 2? Det är egentligen lätt att visa utan att gissa om man vet hur man ska ta fram euclids formel. Detta är ett fall då m=n+1 som ger att C alltid är 1 större än den längsta kateten. Om jag inte minns fel så finns det även oändligt många då c är 2 större än den längsta kateten. Men det är knappast något jag förväntar mig någon som läser matte 2 skall klara, det är ju lite klurigt om man aldrig sett det innan.
Euclids formel säger att:
, låt och så fås formeln given i uppgiften.
Det räcker att kunna en enda pythagoreisk trippel för att lösa uppgiften. Förläng i den alla sidor med 2, så har du en pythagoreisk triangel med endast jämna sidor. Den kommer inte kunna hittas med en metod där en sida är a=2n+1 (ett udda tal), och så har man sitt motbevis =)
Om (a,b,c) uppfyller pythagoras så gäller det att (ka,kb,kc) också gör det. I ditt fall fås (a,b,c) så att de alltid är relativt prima så k kan väljas till vad som helst så länge k>1 eftersom k=1 ger relativt prima lösningar( samma som du redan får) och k <=0 ger ingen triangel.
Jag krånglade till det i onödan genom att börja prata om euclids formel, bättre är att göra som Skaft och Smaragdalena påvisade tidigare.
Skaft skrev:Det räcker att kunna en enda pythagoreisk trippel för att lösa uppgiften. Förläng i den alla sidor med 2, så har du en pythagoreisk triangel med endast jämna sidor. Den kommer inte kunna hittas med en metod där en sida är a=2n+1 (ett udda tal), och så har man sitt motbevis =)
Så motbeviset är då en pythagoreisk trippel har alla jämna tal?
Uppgiften nämner inget om tripplar, inte heller något kapitel i min bok.
Jag förstår inte riktigt ännu. Kan ni visa med bild\uppställning hur ni motbevisar metoden?
Hur många gånger skall vi berätta att triangeln med sidorma 6-8-10 är en pythagoreisk triangel com inte uppkommer genom att man använder metoden?
Uppgiften nämner inget om tripplar, inte heller något kapitel i min bok.
Nog vet du att en triangel har tre sidor, och att varje triangel kan beskrivas på ett entydigt sätt genom att man anger längden av dess tre sidor?
M4t3m4t1k skrev:Skaft skrev:Det räcker att kunna en enda pythagoreisk trippel för att lösa uppgiften. Förläng i den alla sidor med 2, så har du en pythagoreisk triangel med endast jämna sidor. Den kommer inte kunna hittas med en metod där en sida är a=2n+1 (ett udda tal), och så har man sitt motbevis =)
Så motbeviset är då en pythagoreisk trippel har alla jämna tal?
Uppgiften nämner inget om tripplar, inte heller något kapitel i min bok.
Jag förstår inte riktigt ännu. Kan ni visa med bild\uppställning hur ni motbevisar metoden?
Jag visade ju dig precis en lösningen med hjälp av Skaft/Smaragdalenas tips.
Låt säga såhär, vi har (3,4,5), som våra tal, om vi multiplicerar med 2 exempelvis så får vi (6,8,10), är detta en trippel? Kolla med pythagoras.
Okej, kanske om vi provar 3 nu, är (9,12,15) en trippel? Kolla med pythagoras.
Vad kommer du fram till? Men viktigast av allt, kan vi se direkt att dessa inte förekommer med formeln du fick? Om ja/nej, varför? - läs i tråden, svaret finns här.
Du har alltså otroligt mycket information i tråden, försök att lösa uppgiften med hjälp av allt som finns här.
Ni vet vad ni skriver om.
Jag vet inte, därför vill jag lära mig. Jag tror inte ni förstår varför jag skriver, jag förstår inte riktigt.
Varför väljer ni de tal ni väljer?
Varför multiplicera a, b, c med 2 eller 3? Hur kom du på att du ska multiplicera med 2 eller 3?
Relativt prima?
så här står det i facit.
Att två tal är relativt prima betyder att de inte delar någon gemensam faktor större än 1.
Formlen du har blivit angiven producerar tripplar som är relativt prima.
vi vet att en pyth-trippel måste uppyfylla att:
. Nu kan vi se detta på ett par olika vis.
Det enklaste sättet är att inser att vi kan manipulera pythagoras.
Vi har att och vi kan multiplicera allt med en parameter k därför att det inte påverkar likheten.
Vi får då , här är det lätt att inse att vilket k som helst så länge det inte är 1,0 eller negativt kommer ge nya lösningar. Detta eftersom vi nu inte längre har att (a,b,c) är relativt prima eftersom de har en delare större än 1, nämligen k.
Du måste alltså inte välja k=2 men det är en möjlighet.
Du kan också välja dina tal så att de är (ka,kb,bc) vilket då ger dina tripplar som
där k som sagt är ett godtyckligt heltal så att k>1.
Dracaena skrev:M4t3m4t1k skrev:Skaft skrev:Det räcker att kunna en enda pythagoreisk trippel för att lösa uppgiften. Förläng i den alla sidor med 2, så har du en pythagoreisk triangel med endast jämna sidor. Den kommer inte kunna hittas med en metod där en sida är a=2n+1 (ett udda tal), och så har man sitt motbevis =)
Så motbeviset är då en pythagoreisk trippel har alla jämna tal?
Uppgiften nämner inget om tripplar, inte heller något kapitel i min bok.
Jag förstår inte riktigt ännu. Kan ni visa med bild\uppställning hur ni motbevisar metoden?
Jag visade ju dig precis en lösningen med hjälp av Skaft/Smaragdalenas tips.
Låt säga såhär, vi har (3,4,5), som våra tal, om vi multiplicerar med 2 exempelvis så får vi (6,8,10), är detta en trippel? Kolla med pythagoras.
Okej, kanske om vi provar 3 nu, är (9,12,15) en trippel? Kolla med pythagoras.
Vad kommer du fram till? Men viktigast av allt, kan vi se direkt att dessa inte förekommer med formeln du fick? Om ja/nej, varför? - läs i tråden, svaret finns här.
Du har alltså otroligt mycket information i tråden, försök att lösa uppgiften med hjälp av allt som finns här.
Ok jag hänger med på detta.
Dracaena skrev:Att två tal är relativt prima betyder att de inte delar någon gemensam faktor större än 1.
Formlen du har blivit angiven producerar tripplar som är relativt prima.
vi vet att en pyth-trippel måste uppyfylla att:
. Nu kan vi se detta på ett par olika vis.
Det enklaste sättet är att inser att vi kan manipulera pythagoras.
Vi har att och vi kan multiplicera allt med en parameter k därför att det inte påverkar likheten.
Vi får då , här är det lätt att inse att vilket k som helst så länge det inte är 1,0 eller negativt kommer ge nya lösningar. Detta eftersom vi nu inte längre har att (a,b,c) är relativt prima eftersom de har en delare större än 1, nämligen k.
Du måste alltså inte välja k=2 men det är en möjlighet.
Jag hänger med på detta
Vänligen fortsätt förklara. Vi kommer säkert snart till varför jag inte förstår
Är relativ prima, samma som n i uppgiftens formel som framställer pythagoreiska tal?
Nej, att två tal är relativt prima är som sagt att de inte har en gemensam faktor större än 1.
9 och 7 är relativt prima eftersom den största gemensamma faktorn är 1.
9 och 12 är inte relativt prima därför att 3 är en gemensam faktor och 3 > 1.
Sätt n till exempelvis 1 och 2, finns det någon gemensam faktor i (a,b,c)? Du kommer snabbt inse att svaret är nej.
Det är egentligen inte super viktigt att inse, det viktigaste är att inse är att vi kan multiplicera (a,b,c) med vilket tal som helst eftersom likheten fortfarande kommer gälla.
Jag förstår att likheten kommer att gälla när vi multiplicerar med k.
Bra, om vi kollar på b och c så ser vi att den enda skillnaden är att det skiljer 1 eller hur? Exempelvis för n=1 får vi (3,4,5), c är 1 större än den längsta kateten.
Välj k=2, dvs det första värdet på k som vi tillåter så får vi (4,8,10), här är skillnaden 2 mellan längsta katet och c och vi inser då direkt att (4,8,10) går inte att producera.
Välk k=3, vi får då (9,12,15) och skillnaden här är 3 mellan längsta katet och c, denna går inte heller att producera med den givna formeln.
Du kan forsätta, du kommer aldrig hitta en trippel som finns i formeln ovan därför att formeln ger endast tripplar som är relativt prima, så länge k>1 så kommer aldrig (a,b,c) vara relativt prima för de delar faktorn k.
Så det vi letar efter för att motbevisa formeln är något större än b+1?
Tex 2b+2
Du måste inte tänka så, men du kan använda det för att verifiera att en trippel vi producerar inte går att få. Men det viktiga är att inse att formeln vi blir angivna ger tal (a,b,c) som är relativt prima men om vi multiplicerar (a,b,c) med en faktor k så kommer vi aldrig få samma tripplar.
Låt säga att formeln ovan gav tripplar med en gemensam faktor av 2, då hade k=2 inte fungerat.
hänger du med?
Ja 🙂
Tack. Nu kommer jag sova gott.
M4t3m4t1k skrev:Ja 🙂
Tack. Nu kommer jag sova gott.
Bra, läs gärna igenom tråden imorgon och fråga om det är något som är oklart. :)
Jag tror att det gjorde uppgiften krångligare för trådskaparen att börja prata om "relativt prima", även om det är ett viktigt och användbart begrepp. Den går att förstå och lösa utan det begreppet.
Att ordet "trippel" var obekant var synd, men det betyder ju bara tre saker som hör ihop. Ordet borde ha stått i uppgiftstexten.
Vad fick er att vilja multiplicera med k?
Hur kom ni fram till den lösningen?
Titta på formeln i uppgiften. Det syns att alla sidor kommer att ha längder som är udda tal, eller hur?
Triangeln 3-4-5 är en pythagoreisk triangel. Jag vet att 6-8-10 också är en pythagoreisk triangel, och kan dra slutsatsen att den inte går att få fram genom formeln.
Jag är inte riktigt nöjd med svaret.🙂
Alla sidor blir väl inte udda tal. Jag tänker på sidan som är 4.
Men jag förstår att de olika tripplarna antingen fungerar eller inte med metoden.
Du har rätt den längsta kateten är alltid jämn, men om jag i stället säger att med formeln så är hypotenusan alltid 1 enhet längre än den längsta kateten, så funkar resten av mitt resonemang.
Smaragdalena skrev:Du har rätt den längsta kateten är alltid jämn, men om jag i stället säger att med formeln så är hypotenusan alltid 1 enhet längre än den längsta kateten, så funkar resten av mitt resonemang.
20,21,29 den längsta kateten är udda :-)
Vad man kan säga är dock att det alltid är ett jämnt antal udda tal.
Spelar k eller udda eller jämna tal någon roll?
Jag tänker att så länge man kommer fram till att metoden bara gäller då c är 1 enhet längre än b.
Som facit säger b+1=c.
Så när man har en pythagoreisk triangel a^2+b^2=c^2, så gäller metoden bara om b+1=c
Metoden gäller för de pythagoreiska talen 3,4,5.
Men om vi lägger till ett k värde som ger oss en annan pythagoreisk triangel,tex 6,8,10 . Då gäller inte villkoret, b+1=c. Och då kan vi inte använda metoden i uppgiften.
Skulle ni förstå uppgiften om jag förklarar den så för er?
joculator skrev:Smaragdalena skrev:Du har rätt den längsta kateten är alltid jämn, men om jag i stället säger att med formeln så är hypotenusan alltid 1 enhet längre än den längsta kateten, så funkar resten av mitt resonemang.
20,21,29 den längsta kateten är udda :-)
Vad man kan säga är dock att det alltid är ett jämnt antal udda tal.
Den triangeln får du väl inte fram med formeln i uppgiften?
M4t3m4t1k skrev:Spelar k eller udda eller jämna tal någon roll?
Jag tänker att så länge man kommer fram till att metoden bara gäller då c är 1 enhet längre än b.
Som facit säger b+1=c.
Så när man har en pythagoreisk triangel a^2+b^2=c^2, så gäller metoden bara om b+1=c
Metoden gäller för de pythagoreiska talen 3,4,5.
Men om vi lägger till ett k värde som ger oss en annan pythagoreisk triangel,tex 6,8,10 . Då gäller inte villkoret, b+1=c. Och då kan vi inte använda metoden i uppgiften.
Skulle ni förstå uppgiften om jag förklarar den så för er?
Ja, det är rätt resonemang. Har du läst inläggen i tråden? Det finns förklsrar varför vi använder en parameter k, hur vi kom fram till det och vilken konsekvens det har.
Ditt resonemang fungerar dock.
Jag har läst och förstår k parametern som att, det ger oss möjlighet till att hitta fler pythagoreiska trianglar. Men som inte fungerar för metoden i uppgiften.
Och de pythagoreiska talen vi får, genom att använda k parametern, har då en relativ prima större än 1.
Dracaena skrev:Att två tal är relativt prima betyder att de inte delar någon gemensam faktor större än 1.
Formlen du har blivit angiven producerar tripplar som är relativt prima.
vi vet att en pyth-trippel måste uppyfylla att:
. Nu kan vi se detta på ett par olika vis.
Det enklaste sättet är att inser att vi kan manipulera pythagoras.
Vi har att och vi kan multiplicera allt med en parameter k därför att det inte påverkar likheten.
Vi får då , här är det lätt att inse att vilket k som helst så länge det inte är 1,0 eller negativt kommer ge nya lösningar. Detta eftersom vi nu inte längre har att (a,b,c) är relativt prima eftersom de har en delare större än 1, nämligen k.
Du måste alltså inte välja k=2 men det är en möjlighet.
Du kan också välja dina tal så att de är (ka,kb,bc) vilket då ger dina tripplar som
där k som sagt är ett godtyckligt heltal så att k>1.
Jag har lite funderingar🙂
Kanske skulle haft en ny tråd om detta. Men ni får gärna flytta/skapa ny tråd om det passar bättre.
Hur kan jag få denna analytiska förmåga att kunna se ett tal och tänka "aha tänk om jag kan förändra Pythagoras". Vi testar att lägga till en parameter k! Jättebra, det gick. Och vi har bevisat att metoden inte ger alla pythagoreiska tal.
Är det bara mängdträning eller kan jag träna upp min analytiska förmåga på annat sätt?
Problemlösning är något man får träna. Viktigaste är att om du tar hjälp av andra att verkligen se till att du fattar allt.
Angående lösningen till denna uppgiften, det är egentligen ingenting för galet, vi hae ju bara multiplicerat allt med ett tal. Uppgiften äe ju lite klurig så det är nog inte menat att du direkt inser svaret. Huvudsaken är att vi undersöker formlen angiven och letar efter någon egenskap som vi kan uttnytja. I detta fallet var det att hypotenusan är 1 längre än den längsta kateten.
Kanske känns det enklare om man gör en starkare koppling till geometrin, så jag provar det här.
Okej, så vi har en metod som "producerar" pythagoreiska trianglar. Vi vill visa att *inte alla* pythagoreiska trianglar kan hittas med den metoden. Vi vill därför hitta ett motexempel, alltså en pythagoreisk triangel som metoden av någon anledning missar.
Men för att kunna hitta motexempel behöver vi ett annat sätt att producera pythagoreiska trianglar. För trianglarna som metoden ger kan inte motbevisa metoden, för de har ju metoden hittat =)
Knepet kommer från geometrin: Likformighet. Om vi har *en* pythagoreisk triangel (t.ex. den enklaste med sidlängderna 3,4,5) så kan vi hitta fler genom att förstora upp den vi har. Om alla sidor multipliceras med samma tal, fås en ny triangel som är likformig med 3-4-5 och därför använder samma tre vinklar. Det blir bara en uppförstoring. Därför kommer även förstoringarna ha en rät vinkel och uppfylla Pythagoras sats.
Så från triangeln med sidor 3-4-5 kan vi t.ex. dubblera alla sidor för att få triangeln 6-8-10, eller multiplicera med 3 för att få 9-12-15, som alltså är nya pythagoreiska trianglar. Därför fick du svar av typen "multiplicera med 2", "uttryck sidorna som 3k, 4k, 5k" etc. Dessa uppförstoringar är en vettig första anhalt för att leta motexempel (och med det resonemang som facit visar kan man konstatera att *alla* uppförstoringar faktiskt är motexempel, men det räcker ju med ett), eftersom det är ett snabbt sätt att hitta nya pythagoreiska trianglar.
Tack för hjälpen allihopa🙂
