18 svar
302 visningar
Marcus N behöver inte mer hjälp
Marcus N 1775
Postad: 2 jan 2022 12:54 Redigerad: 7 jan 2022 11:56

Q.2 En bräda ligger på två stöd

 

 

 

 

Vad har ja gjort fel? Varför är skillnaden mellan vänster och höger stöden så stort?


Rubrik kompletterad från "Q.2" till nuvarande. /Smutstvätt, moderator 

Bubo 8178
Postad: 2 jan 2022 13:06

Vad är längden (L3 + L4)/2 ? Du använder den felaktigt.

Marcus N 1775
Postad: 2 jan 2022 13:06

 

Borde inte det bara blir Mg(1.21+3.4+1.7) ?

Marcus N 1775
Postad: 2 jan 2022 13:08
Bubo skrev:

Vad är längden (L3 + L4)/2 ? Du använder den felaktigt.

Det är momentarm för lådan. 

Okej, nu ser ja, det borde blir: 

L1+L2+L3+L42, stämmer det? 

henrikus 679
Postad: 2 jan 2022 13:09
Marcus N skrev:
Bubo skrev:

Vad är längden (L3 + L4)/2 ? Du använder den felaktigt.

Det är momentarm för lådan. 

Okej, nu ser ja, det borde blir: 

L1+L2+L3+L42, stämmer det? 

Ja, det stämmer!

Marcus N 1775
Postad: 2 jan 2022 13:20

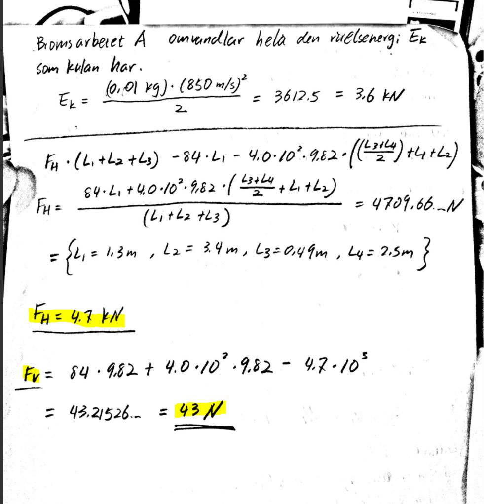
Marcus N 1775
Postad: 2 jan 2022 13:21

Ser det rätt ut? 

Bubo 8178
Postad: 2 jan 2022 18:04

Mycket ser bra ut, men jag förstår inte riktigt vad du gör, inte heller i vilken ordning du gör det.

Längst ner räknar du på F_H, men du glömmer en väsentlig detalj i din ekvation. Ser du vad du missade?

F_V skriver du längre upp på sidan. Jag gissar att du räknar ut den sist, eller hur?

 

F_H är vid ett stöd nästan rakt under en fyrahundra kilos låda. F_V är långt ifrån lådan, och en rätt bra bit från en ganska lätt person. Verkar det då rimligt att F_V är MYCKET större än F_H?

Marcus N 1775
Postad: 3 jan 2022 10:46

Nej, jag ser inte vad ja har missade med ekvation F_H. 

 

Ja, F_V beräknat ja sist. Efter jag fått värdet på F_H. 

 

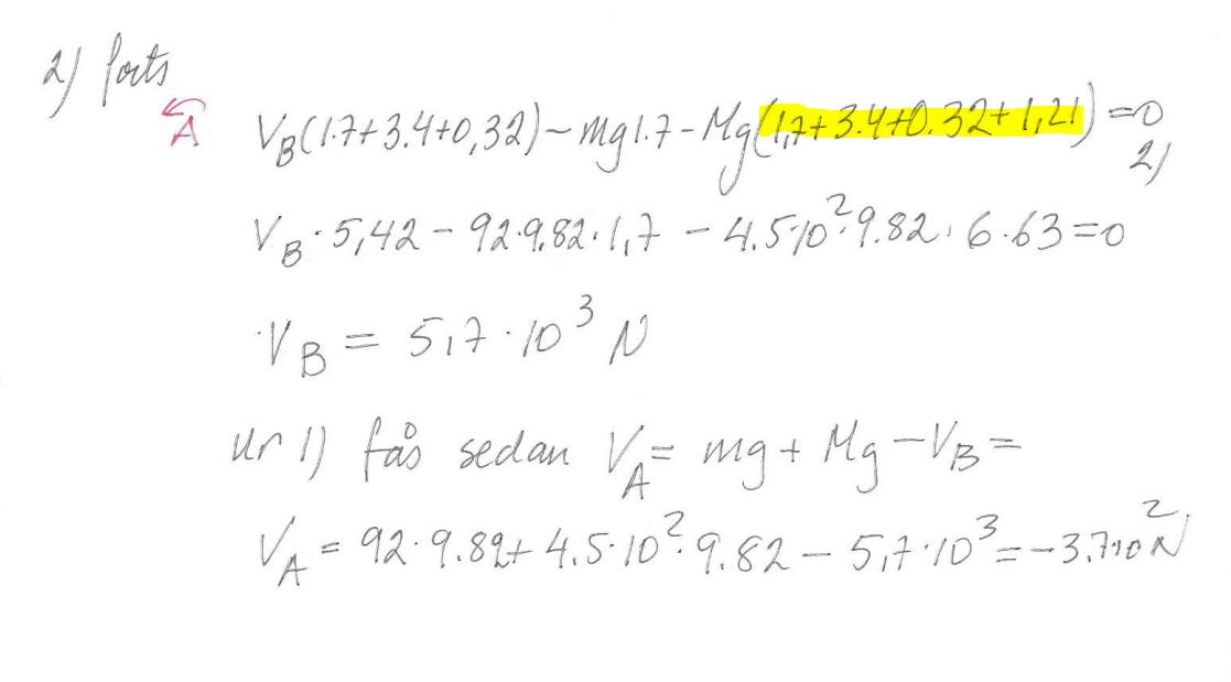
I facit det står också VB = 5.7*10^3 N, VA = -3,7*10^2. Så skillnaden mellan de två krafterna är också stort. 

Bubo 8178
Postad: 3 jan 2022 11:23

Det är inte krafter som du har räknat fram.

Marcus N 1775
Postad: 3 jan 2022 13:50

Menar i ekvation F_H det är inte en kraft som ja räknat fram, eller? 

Men kraftmoment = kraften*den vinkelräta momentarm

Varför är det inte en storhet kraft som ja räknat fram? 

Matsmats 579
Postad: 3 jan 2022 19:00

Ser ut som du räknar ut något som har enheten kg*m när du räknar på moment. Det skall ju bli Nm...

1 N är 1 kgm/s^2 och 1 Nm är 1 kgm^2/s^2. Mao, det fattas något som har enheten m/s^2.

Marcus N 1775
Postad: 4 jan 2022 11:14

Kan någon svarar på post tidstamp "2 jan 13:06" det är facit till den här uppgiften. Jag kanske kan förstå vad är det som gick fel på min egen lösning efter ja har fattat examinatorns lösningsförslag. 

Programmeraren 3390
Postad: 4 jan 2022 11:50

Lösningen i #3 har andra mått men håller med om din kommentar, ser ut som att ett felaktigt extra "0,32" lags till momentarmen för lådan.

Din lösning är nära men en del småsaker som är fel:
- ser inte att du har "=0" i jämviktsuttrycken
- i uttrycket för momentjämvikten saknas parentes runt längden för momentarmen till lådan

Felet som Bubo och Matsmats tipsar om:

Visa spoiler

Du har glömt g i uttrycket för momentet

Marcus N 1775
Postad: 4 jan 2022 12:09

Marcus N 1775
Postad: 4 jan 2022 12:10

Alla ekvationerna är rätt, tror ja. Men det är fortfarande en stort skillnaden mellan F_H och F_V

Bubo 8178
Postad: 4 jan 2022 13:46

Ja, det ser rätt ut.

Visst är det skillnad, men nu har du ungefär 4000 N på stödet rakt under din 400kg-låda.

Jag påpekade att du hade ungefär 4000N på det andra stödet tidigare.

Marcus N 1775
Postad: 4 jan 2022 14:44

Så jag behöver inte ändrar på nåt?

Kraften på höger stödet (den stödet som under 400 kg lådan) är 4.7*10^3 N och kraften på den vänster stödet är 43 N. 

Bubo 8178
Postad: 4 jan 2022 16:20

Du HAR ändrat på något (sedan du frågade först)

I ditt första inlägg var kraften i vänstra stödet 4600 N, och i det högra 136 N.

Nu har du räknat rätt. Kraften i vänstra stödet är 43 N, och i det högra 4700 N.

 

Bra. Klart.

Svara
Close