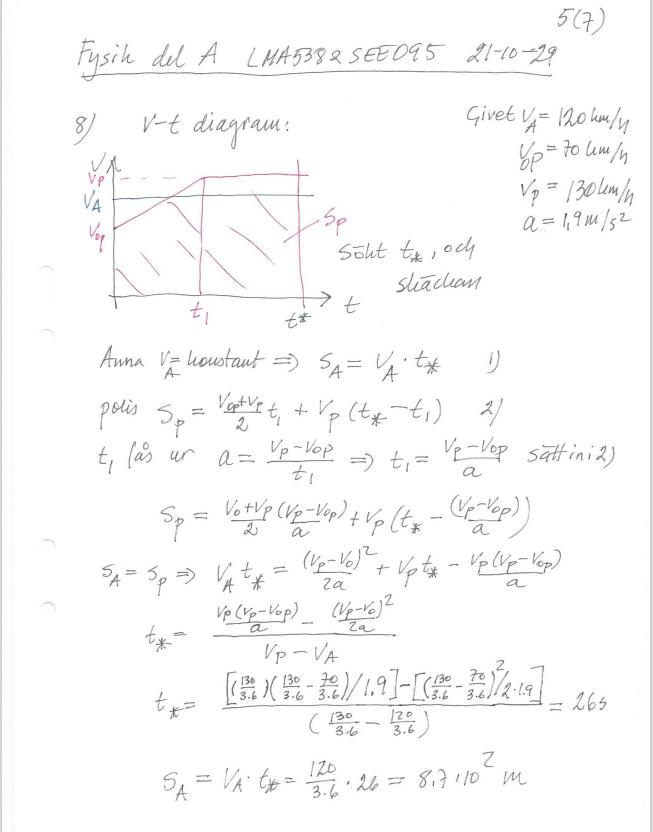
Q.8_ acceleration

Facit:

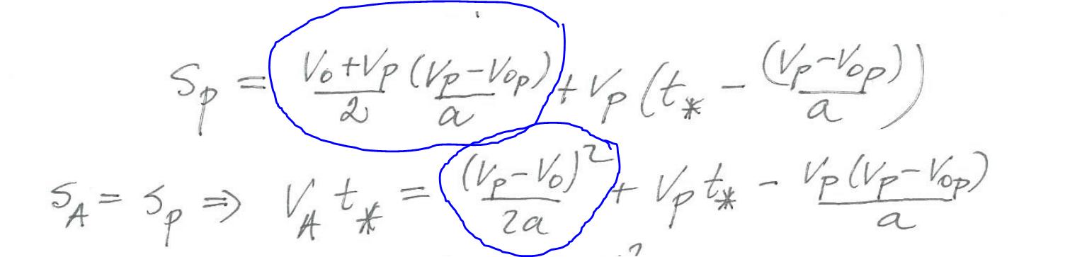
Har de räknat fel i facit?

för att (vo+vp)(vp-vo)=vp^2-v0^2 inte (vp-vo)^2 !
Det står fel där, ja. Om du räknar ut deras uttryck blir det inte det för deras uppgift korrekta svaret 26 sekunder. Där jag med "deras uppgift" menar att lösningsförslaget inte har samma numeriska värden som i din första bild.
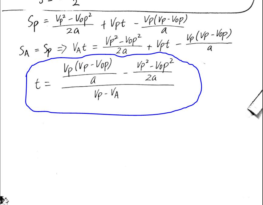
Det enklaste uttrycket för det rätta svaret du kan hosta fram är:
Detta följer också direkt av att likställa arean under fartkurvorna. Om vi däremot förenklar deras uttryck får vi:
Alltså ser vi strax att deras misstag gör sig tydligt.
Ebola skrev:Det står fel där, ja. Om du räknar ut deras uttryck blir det inte det för deras uppgift korrekta svaret 26 sekunder. Där jag med "deras uppgift" menar att lösningsförslaget inte har samma numeriska värden som i din första bild.
Det enklaste uttrycket för det rätta svaret du kan hosta fram är:
Detta följer också direkt av att likställa arean under fartkurvorna. Om vi däremot förenklar deras uttryck får vi:
Alltså ser vi strax att deras misstag gör sig tydligt.
Jag har inte kommit så långt. Just nu fastnar ja med vad sträcka för polisen ska beräknas.
som står i facit.
= t :

Som jag skrev har de gjort fel i facit.
Vad fastnar du på, menar du? Att följa ett felaktigt lösningsförslag? Försök själv och visa ditt eget försök istället.
Du kan beräkna sträckan som arean under fartkurvan. Vad blir arean för Anna? För polisen? De är lika med varandra när polisen kommer ikapp Anna.
Det är exakt vad facit består av, sträcka(arean under kurvan) för Anna = sträcka för polisen
Skriva uttrycket:
Facit är inte fullständigt orimligt.
Och jag har redan förklarat vad någonstans det ja fastnad med.
Se post 12:19
Marcus N skrev:Se post 12:19
Du har helt rätt i att det är fel i facit. Kommer du vidare härifrån? Om inte, vad är detdu behöver hjälp md?
Smaragdalena skrev:Marcus N skrev:Se post 12:19
Du har helt rätt i att det är fel i facit. Kommer du vidare härifrån? Om inte, vad är detdu behöver hjälp md?
Gjort ja rätt i post 13:03 ? Kan man löser ut den söka t* på den sättet?