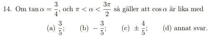
Q14 2013 - Trigonometri

Vet inte riktigt hur jag ska räkna ut vad cos a är. Gissade spontant att cos a skulle vara -(3/5) efter som vinkeln ligger i tredje kvadranten. Eftersom svaret är d) är uppenbarligen värdet på cos a fel. Tacksam för lite hjälp! Hur räknar jag ut cos a?
Notera att . Vi kan alltså skriva att . Vad kan vi göra med detta? :)
Ledtråd:
Skriv ett samband mellan sin och cos, och använd sedan trigettan. :)
Eller hitta på en triangel där förhållandet mellan kateterna är 3/4, t. ex. med kateterna 3 och 4, och räkna sedan ut hypotenusan.
Smutstvätt skrev:Notera att . Vi kan alltså skriva att . Vad kan vi göra med detta? :)
Ledtråd:
Skriv ett samband mellan sin och cos, och använd sedan trigettan. :)
Tack!
Laguna skrev:Eller hitta på en triangel där förhållandet mellan kateterna är 3/4, t. ex. med kateterna 3 och 4, och räkna sedan ut hypotenusan.
Tack!