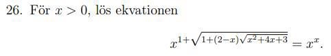
Q26 Mattedelen 2013

Har lekt lite med uppgiften men kommer ingen vart. Har generellt problem med uppgifter som denna då absolutbelopp kommer... Man ska ange minsta reella lösning och svaret är 1. Tacksam för lite hjälp!
Eftersom basen är densamma kan du direkt dra två slutsatser. Den första är att om x = 1 spelar det ingen roll vad exponenten är (om vi inte tillåter komplexa tal men det gör vi inte här). Vad mer vet vi? OM basen är densamma är vår enda chans att få likhet i HL och VL om exponenten är densamma.
Kommer du vidare?
Dracaena skrev:Eftersom basen är densamma kan du direkt dra två slutsatser. Den första är att om x = 1 spelar det ingen roll vad exponenten är (om vi inte tillåter komplexa tal men det gör vi inte här). Vad mer vet vi? OM basen är densamma är vår enda chans att få likhet i HL och VL om exponenten är densamma.
Kommer du vidare?
Precis. Alltså måste ju exponenterna vara lika om x inte är 1. Men för att ta reda på om det finns ytterligare lösningar måste jag väll undersöka (alltså när exponenterna är lika)? Det är det jag tycker är svårt.
Precis, om du börjar med att subtrahera 1 så kan du kvadrera HL och VL, förenkla, flytta över allt till en sida, faktorisera och så kommer du få två rätt enkla ekvationer att lösa.
Nja, det räcker att visa att x måste vara större än x - de frågar ju efter den minsta positiva lösningen!
Jag skulle börja med att subtrahera 1 på båda sidorna (av ekvationen i ditt senaste inälgg) och sedan kvadrera båda sidor. Hur ser ekvationen ut när du har gjort det?
Smaragdalena skrev:Nja, det räcker att visa att x måste vara större än x - de frågar ju efter den minsta positiva lösningen!
Jag skulle börja med att subtrahera 1 på båda sidorna (av ekvationen i ditt senaste inälgg) och sedan kvadrera båda sidor. Hur ser ekvationen ut när du har gjort det?
Det missade jag ju helt, bra fångat. Jag trodde det bara handlade om att lösa ekvationen.
Smaragdalena skrev:Nja, det räcker att visa att x måste vara större än x - de frågar ju efter den minsta positiva lösningen!
Jag skulle börja med att subtrahera 1 på båda sidorna (av ekvationen i ditt senaste inälgg) och sedan kvadrera båda sidor. Hur ser ekvationen ut när du har gjort det?
Okej. Vad menar du med att x måste vara större än x?
Smaragdalena skrev:Nja, det räcker att visa att x måste vara större än x - de frågar ju efter den minsta positiva lösningen!
Jag skulle börja med att subtrahera 1 på båda sidorna (av ekvationen i ditt senaste inälgg) och sedan kvadrera båda sidor. Hur ser ekvationen ut när du har gjort det?
Då har jag ju:
Stämmer det?
jonathannn skrev:Smaragdalena skrev:Nja, det räcker att visa att x måste vara större än x - de frågar ju efter den minsta positiva lösningen!
Jag skulle börja med att subtrahera 1 på båda sidorna (av ekvationen i ditt senaste inälgg) och sedan kvadrera båda sidor. Hur ser ekvationen ut när du har gjort det?
Okej. Vad menar du med att x måste vara större än x?
Jag menade att x måste vara större än 1.
Smaragdalena skrev:jonathannn skrev:Smaragdalena skrev:Nja, det räcker att visa att x måste vara större än x - de frågar ju efter den minsta positiva lösningen!
Jag skulle börja med att subtrahera 1 på båda sidorna (av ekvationen i ditt senaste inälgg) och sedan kvadrera båda sidor. Hur ser ekvationen ut när du har gjort det?
Okej. Vad menar du med att x måste vara större än x?
Jag menade att x måste vara större än 1.
Jaha okej!
Men när jag har detta:
Vad kan jag göra då? Har svårt när det kommer till absolutbelopp. Är det korrekt att sätta VL som absolutbelopp?
Det behövs inget absolutbelopp, men ta -1 på båda sidor. Sedan kan du multiplicera -1 på VL och HL. Då kan du stryka bort (x-2) kommer du vidare?
RandomUsername skrev:Det behövs inget absolutbelopp, men ta -1 på båda sidor. Sedan kan du multiplicera -1 på VL och HL. Då kan du stryka bort (x-2) kommer du vidare?
Jaha okej. Hur kommer det sig att det inte behövs något absolutbelopp? Har lite dåligt koll på hur det faktiskt funkar.
jonathannn skrev:RandomUsername skrev:Det behövs inget absolutbelopp, men ta -1 på båda sidor. Sedan kan du multiplicera -1 på VL och HL. Då kan du stryka bort (x-2) kommer du vidare?
Jaha okej. Hur kommer det sig att det inte behövs något absolutbelopp? Har lite dåligt koll på hur det faktiskt funkar.
Absolutbelopp i ekvationer är vanligt i situationer som exempelvis denna
I detta fall finns inget liknande i uppgiften.
Se samma fråga här: https://www.pluggakuten.se/trad/ange-minsta-losningen/
RandomUsername skrev:jonathannn skrev:RandomUsername skrev:Det behövs inget absolutbelopp, men ta -1 på båda sidor. Sedan kan du multiplicera -1 på VL och HL. Då kan du stryka bort (x-2) kommer du vidare?
Jaha okej. Hur kommer det sig att det inte behövs något absolutbelopp? Har lite dåligt koll på hur det faktiskt funkar.
Absolutbelopp i ekvationer är vanligt i situationer som exempelvis denna
I detta fall finns inget liknande i uppgiften.
Okej tack!