Quizfrågan som fråga om hur E-fältet ändras mellan plattorna när man har en fullt uppladdad kondensatorn.

I vanliga fall har vi formeln: , om plattavstånd ökar så minskar elektriskt fältstyrkan.
Varför ändras inte E-fältet här när vi har en fullt uppladdad kondensatorn?
Du vet att Q = CU. Hur ser formeln för C ut för en plattkondensator? Tänk på att Q är konstant här, eftersom kondensatorn är frånkopplad så laddning kan varken tillföras eller bortföras.
PATENTERAMERA skrev:Du vet att Q = CU. Hur ser formeln för C ut för en plattkondensator? Tänk på att Q är konstant här, eftersom kondensatorn är frånkopplad så laddning kan varken tillföras eller bortföras.
Den här formeln har vi när det kommer till plattkondensatorn, men verkar vara oberoende av laddning.
Men sen har vi ett annat formeln som beskriver Energi hos fältet i laddad kondensatorn och ser ut så här:
så vad händer om du kombinerar
C = k*A/d med Q = CU och E = U/d
där k är permaeabiliteten dvs en konstant, om A och Q är konstanta
Nu är ja helt löst! Hur kombinerar vi? Kan du visar?
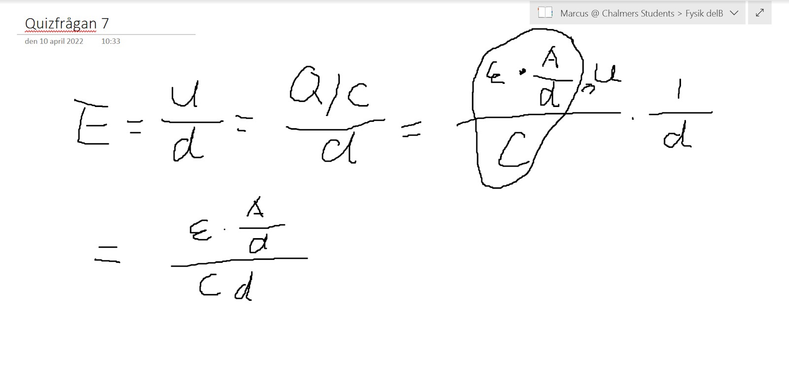
Min försök ser ut så här:
C=kA/d ersätt C med Q/U
Q = kAU/d
Ersätt U med. Ed
Q = kAEd/d = kAE som du ser är E oberoende av d
