Quizfrågan som handlar om beräkna spänning över solenoid

26 ms = 0.026 s
Den här uppgiften har ja absolut ingen ide om hur man lösar.
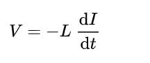
Den här är bara en gissning, kanske ska jag använda den här formeln här:

för att kunna går vidare med lösningen.
Men då vet ja inte hur man kan bestämma spänning över spole vid tidpunkten 26ms ?
Jag tror du har löst det!
Om solenoiden är en ren induktans så får man ingen spänning över den om strömmen är konstant, bara när den ändras. En linjär ökning av strömmen ger en konstant spänning.
Så spänningen över solenoiden är 0V vid en konstant ström på 0.3A, den ligger på en konstant spänning på 0.12V när strömmen ökar linjärt mellan 0.02 och 0.03 s och blir åter 0V när strömmen är konstant på 0.5A
ThomasN skrev:Jag tror du har löst det!
Om solenoiden är en ren induktans så får man ingen spänning över den om strömmen är konstant, bara när den ändras. En linjär ökning av strömmen ger en konstant spänning.
Hur visst du solenoid är en ren induktans?
eftersom det inte står något annat så är man tvungen att anta att den är ideal, annars går inte uppgiften att lösa