2
svar
72
visningar
sannakarlsson1337 behöver inte mer hjälp
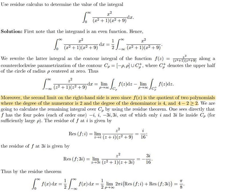
Quotient of two polynomials where the degree of the numerator....

det gulmarkerade, vad har jag missat där?? kommer inte ihåg,
Du vill visa att gränsvärdet när |z| -->oo =0
I oändligheten räcker det att kolla på vad som dominerar, så i täljaren har vi ungefär z^2 och i nämnaren ungefär z^4, alltså beter sig funktionen ungefär som 1/z^2, som går mot 0 även om du slänger på längden på intervallet(som är ungefär z).
Micimacko skrev:Du vill visa att gränsvärdet när |z| -->oo =0
I oändligheten räcker det att kolla på vad som dominerar, så i täljaren har vi ungefär z^2 och i nämnaren ungefär z^4, alltså beter sig funktionen ungefär som 1/z^2, som går mot 0 även om du slänger på längden på intervallet(som är ungefär z).
ja juste.. =)