8
svar
115
visningar
Radianer
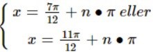
Jag förstår inte svaret på denna uppgift:

Svaret ska tydligen vara:

Men fattar vad jag gjorde fel i min lösning:
.jpg?width=800&upscale=false)
*fattar inte
Börja med att skriva om VL till EN sinusfunktion. Leta upp en formel som börjar asinx+bcosx = ... I ditt fall är a = 0 och b = -1.
EDIT: Felskrivet, självklart skall a = 1, annars blir det alldeles för lätt!
är inte a = 1? eftersom 0*sinx blir väll 0
Jag gjorde det i min lösning då jag fick √2*sin(x-(π/4)) = (√6)/2
Men fick ändå fel då svaret skulle innehålla n*π. Jag fick istället n*2π.
Visa dina uträkningar!
Din uträkning är rätt.
Vad står det I facit?
.jpg?width=800&upscale=false)