Radianer
Hej:) Bara en spontan fråga. Hur ska man komma ihåg radianer? Då man har alltid utgått från grader innan.
Jag vill liksom inte slösa tid på provet för att rita en enhetscirkel som visar vilka grader som är i radianer. Finns det ett enklare sätt att tänka på?
(X°/360) * 2pi
(X°/360) * 2 för antal radianer uttryckte i pi
Brukar också finnas omvandling i formelbladet för vanligt förekommande grader, t. ex 30, 45, 60
anonym972 skrev:[...]
Hur ska man komma ihåg radianer?
[...]
Finns det ett enklare sätt att tänka på?
Det enda du behöver lära dig utantill är att ett helt varv () motsvarar radianer, dvs att radianer.
Resten kan du snabbt räkna ut, enligt följande.
Om du vill omvandla från grader till radianer:
Utgå från radianer
Dividera båda sidor med :
radianer.
Med hjälp av detta kan du omvandla från grader till radianer.
Exempel:
radianer.
===
Motsvarande för att omvandla radianer till grader:
Utgå även här från radianer
Dividera båda sidor med :
radian
Förenkla:
radian
Med hjälp av detta kan du omvandla från radianer till grader.
Exempel:
radianer
Kan du förklara hur du gjorde med exemplet nedan, hur fick du det i bråkform?
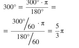
Exempel:
30=30⋅(π/180)=π/6 radianer.
Ska man hitta något gemensamt mellan täljare och nämnare för att förkorta?
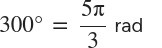
Man har gjort samma här fast med ett annat exempel:


anonym972 skrev:Ska man hitta något gemensamt mellan täljare och nämnare för att förkorta?
Ja, det handlar om att förenkla bråket med hjälp av förkortning.
Det är ett av sätten. Man kan förkorta bråk genom att dela både täljare och nämnare med samma tal. Man kan t.ex. förkorta först med 10 och sedan med 3.