3
svar
168
visningar
Leonhart behöver inte mer hjälp
Radianer

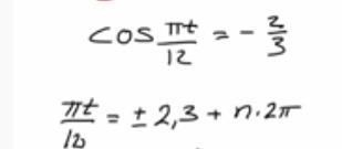
Jag är inte så insatt i det här med radianer, hur blev arccos(-2/3) 2,3? Jag förstår att cosinus har perioden 2π (360 grader).
arccos(-2/3) är ungefär 2,3. Det är lustigt sammanträffande att samma siffror är med.
Laguna skrev:arccos(-2/3) är ungefär 2,3. Det är lustigt sammanträffande att samma siffror är med.
Finns det något sätt att få fram radianer ur invers av sin, cos och tan?
Om du menar med miniräknaren så kan den vara inställd på antingen radianer eller grader.
Om du har en vinkel i grader så får du den i radianer om du multiplicerar med .