Radien i en cirkel

den här har jag suttit med jätte länge och förstår inte vad den vill att jag använda för metod. har den lilla cirkeln någon koppling till den stora eller?
Du kan hitta Pythagoras rätvinkliga triangel!
R2+R2 = (R+r)2
Då fixar du förhållandet?
Japp! Cirklarna tangerar varandra, dvs. de delar precis en punkt. Hur långt är avståndet mellan den stora cirkelns medelpunkt och origo?
Troligen vill man att du ska uttrycka R i r, dvs R=f(r)
Du kan få ett samband mellan de båda genom att jobba med den rätvinkliga triangel du har , där sidan märkt med R är en katet och de andra hörnen finns i medelpunkten för den stora cirkeln resp i origo
okey, några siffror får jag inte veta utan bara det som stod vilket gör att jag tycker det blir lite svårt. jag ska alltså bra skriva en funktion som skulle kunna räkna ut detta.
Börja med att använda Pythagoras sats på den angivna triangeln, uttryckt i variablerna R och r.
Så hjälper jag dig sedan vidare
Okey, förstod på ett ungefär vad du menade. jag gjorde så här
och antar att den där R^2+R^2 = (R+r)^2 däremot vet jag inte hur jag går vidare med bokstäver. vet exakt hur jag gör med siffror men bokstäver blir det svårt
R2+R2 = (R+r)2
2R2 = (R+r)2
Sen tar du roten på båda sidor
Vad blir det?
Jag kanske är helt och cyklar men 1,41R=R+r. Vet ärligt inte riktigt hur man gör roten ur en konstant bokstav eller hur jag ska visa det
Alternativet är att du utgår från uttrycket: 2och skriver 2 som dvs
Då får du:
Här måste det som står inom parenteserna vara lika
Och då får du ett uttryck i bara R och r som du kan bearbeta och får R ensamt på vänstra sidan.
Detta är inte någon enkel uppgift - men lärorik
Okey, får klura lite på den. Abolut väldigt svår men lärorik.
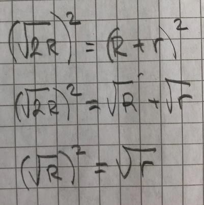
NU har jag suttit med den ett tag och har kommit fram till en lösning jag tror kan vara rimlig utifrån vad jag räknat. svaret tror jag är roten hur R^2 = roten ur r. då jag tänker att sätter jag båda i roten ur kan jag ta bort ena eftersom de är lika på båda sidorna eller?
Nej, så kan man inte räkna. Använd följande regel i vänster led
I höger led ska du använda första kvadreringsregeln.
Okey tror jag att jag gjorde som du beskrev så här:
och fick svaret 2R=R^2+2Rr+r^2 men man bör väll kunna förkorta det eller göra det mindre eller har jag fel? eller så är detta svaret eftersom alla tal är olika?
Målet är att få R (utan kvadrat) på vänstra sidan och resten av termer på högra sidan.
Använder du kvadreringsregeln så får du en -term, vilket vi inte vill ha.
Utan utgående från uttrycket kan vi nu jämföra det som står i parenteserna på båda sida likhetstecknet.
Då får vi
Det är ett samband mellan R och r.
Om du jobbar med denna ekvation/uttryck och samlar R-termerna på vänstra sidan får du:
-
Dvs
Och slutligen :
Där har vi nu funktionen R(r), dvs R som funktion av r
Tusen tack för hjälpen
vaför är den andra kateten R