Radiens exakta längd
Halvcirkel med en rätvinklig triangel i. Den triangeln är uppdelad i två trianglar. Alla tre trianglarna är likformiga. Likformighet: (2r-2)/AC=AC/2r men jag har ju ingen aning om vad AC är. Snälla hjälp.
Har sett att AC kan vara = 8, men fattar inte hur.

Är det korrekta svaret uttryck i variabel eller numeriskt - d.v.s är svaret ett tal eller beror det på en variabel?
Numeriskt

Eftersom de tre trianglarna är likformiga kan du sätta upp en rad samband, t.ex. det du redan har, (2r-2)/AC=AC/2r, vidare CD/2 = (2r-2)/CD och AC^2 = (2r-2)^2 + CD^2...
Ja, jag har gjort det och fått:
4r^2-4r=4r^2-8r+4+4r-4
och det tar ju bara ut vartannat
Om du inte har annan information är uppgiften olöslig. Radien kan vara vilket tal som helst (som är större än 1).
Känner du till att vinkeln vid C är rät och att höjden CD är det geometriska medelvärdet av diametern 2 r:s
delsträckor så (2r-2)*2 = (CD)^2 som ger 4 (r-1) = |CD|^2 du har (2r-2)/AC=AC/2r som kan förenklas
och sedan gäller Pythagoras sats på stora triangeln |AC |^2 + |BC |^2 = |2r |^2 = 4 r^2
men också |CD |^2 +2^2 = |BC |^2 Pythagoras på den Lilla triangeln dvs |BC |^2 - 4 = |CD|^2
Jag håller med om att det finns oändligt antal lösningar. Se bild, båda cirklarna uppfyller kraven men har olika radier.
mattekalle skrev :Jag håller med om att det finns oändligt antal lösningar. Se bild, båda cirklarna uppfyller kraven men har olika radier.
Det finns ett villkor - tre likformiga trianglar. Ser vi dom i din figur?
Dom kan du se i den ursprungliga figuren.
Hej Emil9797
Du skriver "Har sett att AC kan vara = 8"
Var har du sett det? Står det i uppgiften?
Henrik Eriksson skrev :Dom kan du se i den ursprungliga figuren.
Låt oss betrakta den lilla cirkeln in din figur. Säg att den cirkeln blir så liten att närmar sig noll. Hittar man tre likformiga trianglar då?
larsolof skrev :Hej Emil9797
Du skriver "Har sett att AC kan vara = 8"
Var har du sett det? Står det i uppgiften?
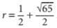
För OM det står i uppgiften att AC = 8 så blir radiens exakta värde r = +
=
2r(2r-2)=64
4-4r=64
- r - 16 = 0
r = -
r = (den andra roten är falsk)
Affe Jkpg skrev :Henrik Eriksson skrev :Dom kan du se i den ursprungliga figuren.
Låt oss betrakta den lilla cirkeln in din figur. Säg att den cirkeln blir så liten att närmar sig noll. Hittar man tre likformiga trianglar då?
Ja.
Tack så mycket. Det var det geometriska medelvärdet som fattades:)
Nej, inte i uppgiften. Där finns ingen mera info där. Det står i facit men ingen förklaring till hur det blir så.
Denna matteuppgift har många lösningar (dvs oändligt många)
Här visar jag två lösningar, den vänstra med r=4 och den högra med r=6.
Enligt facit skulle r 4,53113

I den vänstra har de tre likformiga trianglarna vinklarna 30 60 90 grader.
I den högra har de tre likformiga trianglarna vinklarna 24,095 65,905 90 grader.