Radikalsubstitution
Hej!
Har fastnat på en uppgift jag inte förstår. Den lyder: ”Skriv strukturformler och namnge alla monoklorprodukter du kan få från butan genom radikalsubstitution med klor.”
Jag vet att det bildas ett klorerat kolväte genom radikalsubstitution, i detta fall klorbutan. Enligt facit kan det bara bildas 1-klorpropan och 2-klorpropan, men varför? Varför kan det inte bildas 3-klorpropan, beror det på att man måste numrera kolatomerna så att substituenterna får så lågt nummer som möjligt? Isåfall borde ju inte 2-klorpropan vara svaret tänker jag, eller? Känner mig så förvirrad, förlåt!
Det har att göra med hur kolatomerna i en kolväte numreras, och att fler regler används när substituenter som kloratomen finns med. I propan kan du välja vilken av kolatomerna på änden som skall numreras som nummer 1, eftersom propan är symmetrisk (och ser därför lika ut om du tittar från ena änden av kolkedjan eller andra).
Men efter att kloratomen adderas på ena änden (vilken som) så ändras prioritetsordningen när kolatomerna skall numreras - så att den kolatomen med kloratomen bunden till sig alltid blir nummer 1. Så trots att kloratomen kan adderas på propanets atom 1 eller 3, så numreras kolatomerna alltid med kloratomen på 1 positionen - du numrerar med andra regler eftersom det är en annan typ av molekyl.
tänk på att en av produkterna är kiral.
Okej, jag förstår delvis det du menar, att när en kloratom t.ex. adderas på propan så utgår man från att substituenten (kloratomen) får så lågt nummer som möjligt. Men hur kommer det dig att det bildas 2-klorpropan då? :/ Tänker att det inte borde bildas eftersom substituenten inte får lågt nummer, 1-klorpropan är ju lägre.
oneplusone2 skrev:tänk på att en av produkterna är kiral.
Ja det stämmer vid bildningen av 2-klorobutan, så fås även stereoisomeri.
Isaak skrev:Okej, jag förstår delvis det du menar, att när en kloratom t.ex. adderas på propan så utgår man från att substituenten (kloratomen) får så lågt nummer som möjligt. Men hur kommer det dig att det bildas 2-klorpropan då? :/ Tänker att det inte borde bildas eftersom substituenten inte får lågt nummer, 1-klorpropan är ju lägre.
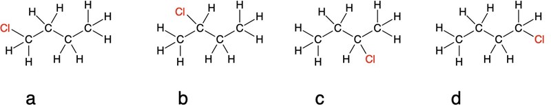
Numreringen följer hur kemister har bestämt att det skall kallas, d.v.s. hur kemisterna har valt att beskriva kemin. Var kloratomen faktiskt hamnar är den riktiga kemin, och i detta fall kan kloratomen substituera vilket väte som helst i butanet (som i din uppgifts fråga), och samma sak (som i den fråga du ställde). Motsvarande i bilden nedan, men för vad vi kallar föreningarna följer regeln att den kolatom med substituenten skall få det lägsta numret - så då kan det bli 1-kloro (a/d) eller 2-kloro (b/c).

Produkterna a och d är identiska, men skiljer sig från b/c.
b/c är inte heller är identiska som oneplusone2 skrev, men det beror kiraliteten (optisk isomeri).
Tack så mycket för ditt utförliga svar, så tacksam! Jag tror att jag förstår, ska läsa igenom det ett par gånger till! Om jag inte förstår 100% skriver jag igen!