Räkna förskjutningen på en Turbinskiva - Hållfasthetslära grundkurs
En turbinskiva med radien R = 400 mm roterar med vinkelhastigheten ω = 940 rad/s. På skivan
är turbinblad monterade. Dessa har längden L = 90 mm, tvärsnittsarean A = 330 mm2
och är tillverkade av en nickellegering med elasticitetsmodulen E = 200 GPa och densiteten p = 8,70 g/cm3.
Skivans rotation ger ger en linjelast b(x) = pAω2(R +x) på bladen. Bestäm förskjutningen δ av bladens ändar.
Jag sitter helt fast på den här uppgiften och kikar igenom anteckningar såväl som kursbok och hittar ingenting som kan hjälpa mig. Min hypotes är att man ska ställa upp
I: Jämvikt,
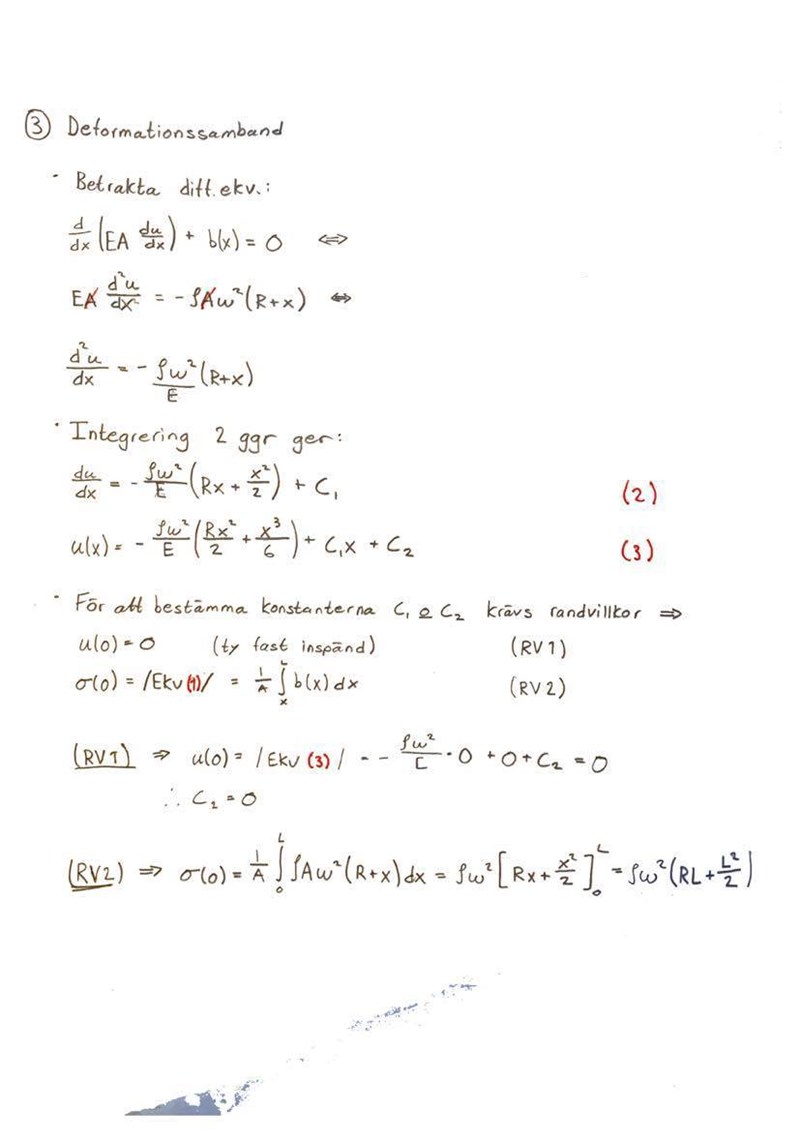
II: Deformationssamband,
III: Konstitutivt Samband
Behöver lite hjälp att komma igång (alternativt få en liten förklaring)
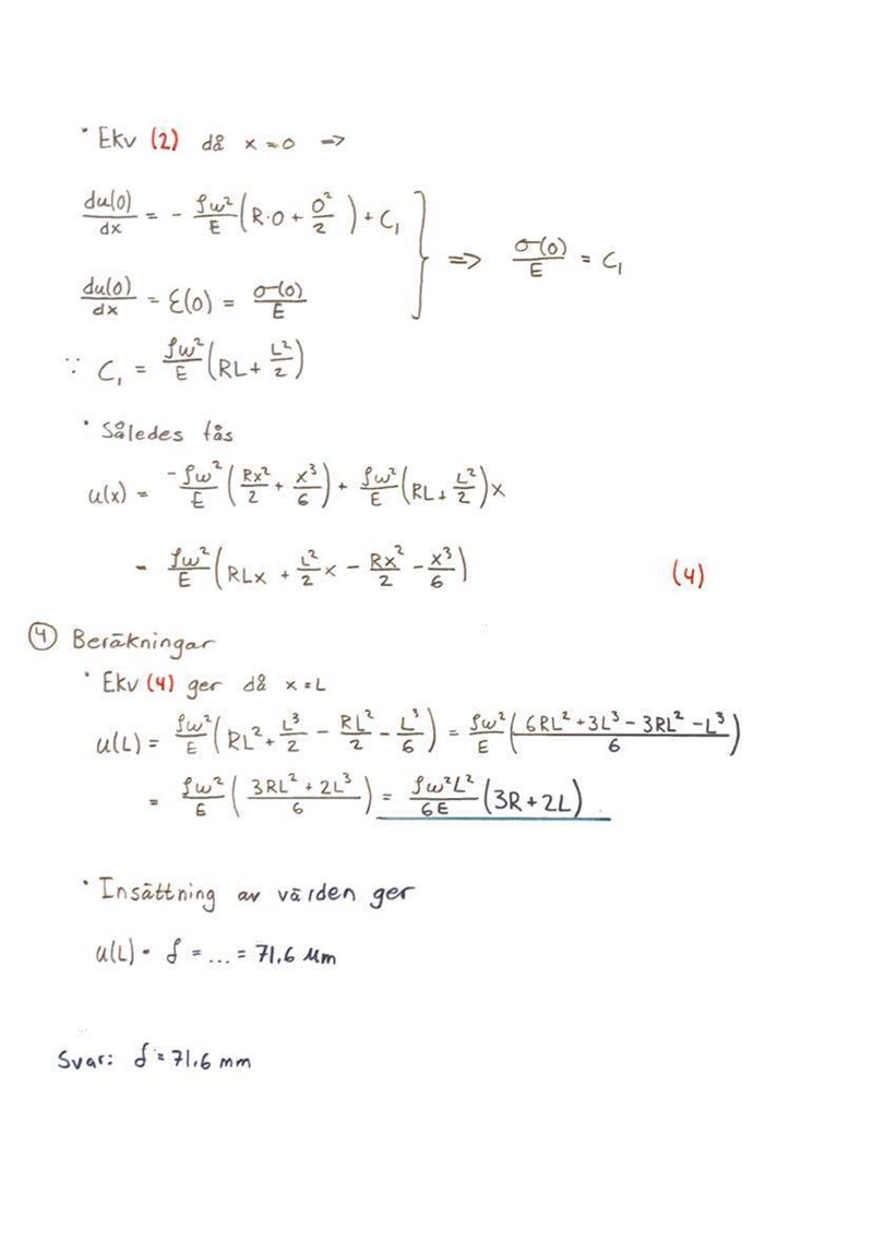
svaret blir:
δ =L^2*p*ω^2 * (3R+2L)/6E= 71,6 µm
Frilägg turbinbladet och komplettera med en bild där två tvärsnitt förskjuts u resp u+du.
Jämvikt x-led i din friläggning ger (förhoppningsvis)
Per definition gäller
Konstitutivt samband:
Kombinera sambanden och integrera för , som specialfall är


