3
svar
89
visningar
Räkna med bråk med potenser

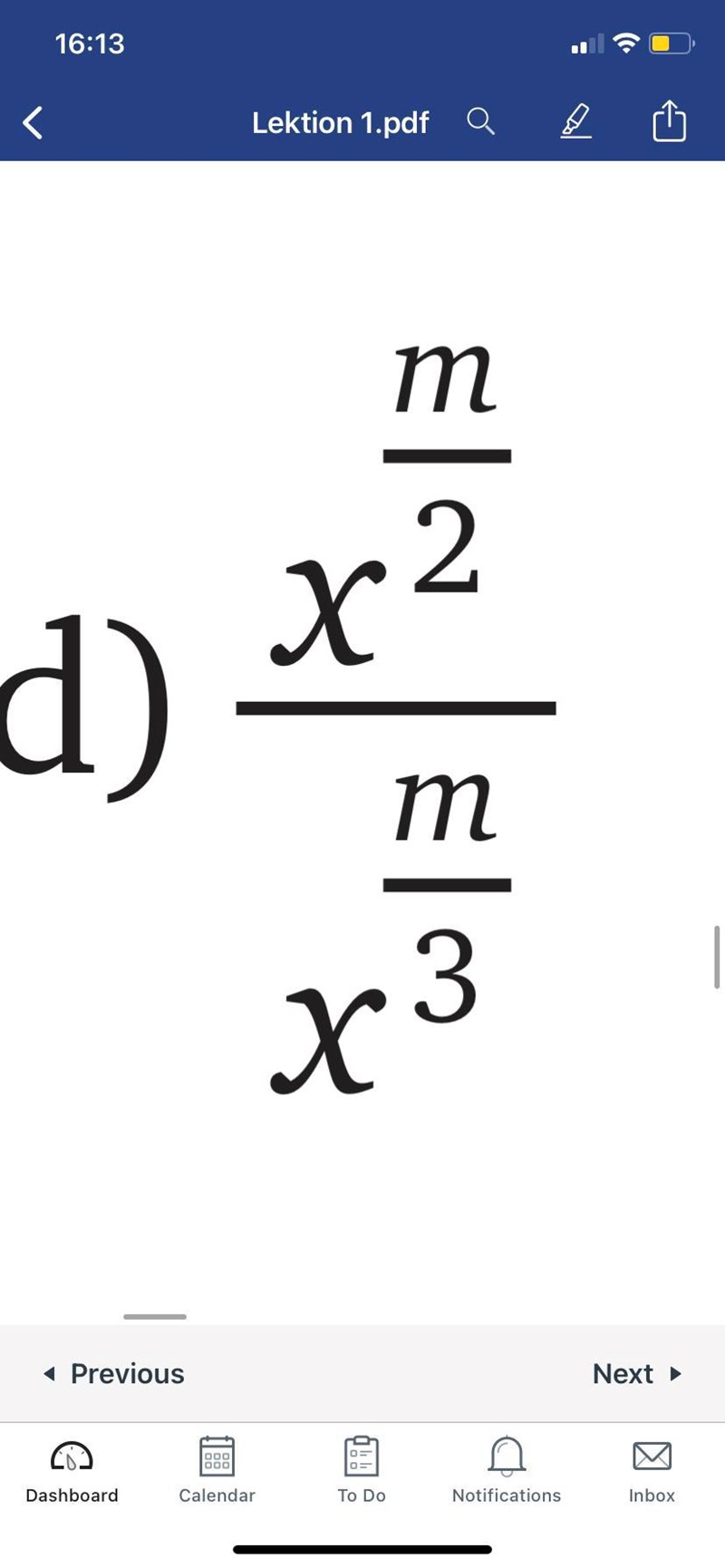
vad är det jag gör för fel? Enligt formelsamlingen ska det stå såhär. I facit står det bara x^m/6. Någon som kan förklara?
emmaturunen skrev:
vad är det jag gör för fel? Enligt formelsamlingen ska det stå såhär. I facit står det bara x^m/6. Någon som kan förklara?
Välkommen till pluggakuten.
På ditt papper har du skrivit d)
Och i uppgiften står det d)
Men gud! Det förklarar sakenXD Satt lääänge och höll på… tack!!
emmaturunen skrev:Men gud! Det förklarar sakenXD Satt lääänge och höll på… tack!!
You are welcome. :)