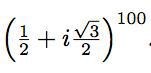
Räkna med De Moivres Formel
Beräkna med de Moivres formel:

Är fast. Förstår att r=1. Och att vi får blir (cos((pi/3)*100)+sin((pi/3)*100)). Men sen är jag fast?? Hur ersätter jag dessa till rätt antal varv? Hur ska man tänka! Vore så tacksam för hjälp
Hur många pi/3 behöver du för ett varv?
Enligt min tanke - vilket tydligen är fel, så får jag plats med pi/3 sex gånger på två pi.... Tänker antagligen helt galet. Men hur ska man tänka?
Det stämmer. Så nu är det bara börja på 100 och dra bort 6 tills det inte går mer. Vad blir kvar?
Tack, Det går ju 16 gånger, 6*16=96 med fyra över. Men är fortfarande lite förvirrad. Då har vi gått 16 varv med 6 stycken pi/3 vinklar i varje varv. Kvar blir väl ändå fyra varv, och därmed 12 sådana vinklar kvar? Svaret ska bli 4pi/3+2*16. Jag är med på att det blir 100 om man beräknar det, tipset med att kolla hur många varv det går var jätte bra bit på vägen men fattar inte riktigt hela vägen
Nej, kvar blir inte 4 varv, utan 4 st pi/3. Så här: