Räkna med miniräknare
Hej!

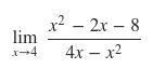
Jag har löst denna uppgift genom ''vanlig'' uträkning, men jag vill veta om man kan lösa uppgiften på miniräknare
(TI-84 Plus) och hur man gör då.
:)
Du kan lösa uppgiften grafiskt, samt genom att approximera gränsvärdet om du beräknar värdet av uttrycket för x-värden runt 4. :)
Hur löser jag det grafiskt? Ska jag skriva:
Finns limes ens i miniräknaren, för att hittar den inte...
Nja, du behöver rita en bild av situationen. Det räcker med andra ord att rita upp funktionen . I vilket område vill du undersöka funktionen?
då x=4?
Det blir error :)
Ja, runt punkten där x = 4. Du kan inte sätta in x = 4, eftersom du då får division med noll, men om du väljer intervallet x = 0 till x = 8, så kan du se ungefär vad som händer. Du kan behöva justera intervallet eftersom, men det är en bra början. :)