Räkna med sinx och cosx

Jag kommer så här långt:

men hur fortsätter man?
Utveckla första termen med, och se om du kan få bort några termer. Sen är alltid trigonometriska ettan bra att ha till hands när man har med kvadrerade trigonometriska uttryck att göra.
Ibland är det bättre att "inveckla" istället för att utveckla. Prova att använda dubbla-vinkeln-formeln för cosinus för att förenkla uttrycket inom parentes.
haraldfreij skrev:Utveckla första termen med, och se om du kan få bort några termer. Sen är alltid trigonometriska ettan bra att ha till hands när man har med kvadrerade trigonometriska uttryck att göra.
Jag kan inte utveckla den.
Hur kan jag använda trigonometriska ettan?
Det finns såklart många sätt att lösa en sånhär uppgift. Trig. ettan kan t.ex. användas för att ersätta med eller tvärtom redan från början, men du kan också vänta tills du har explicit i ditt uttryck.
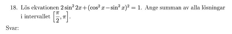
För att utveckla första termen (om du vill använda min metod istället för Skafts) kan du utnyttja formeln för sinus dubbla vinkeln.