2
svar
86
visningar
Princ2021 behöver inte mer hjälp
Räkna Tangent och normal
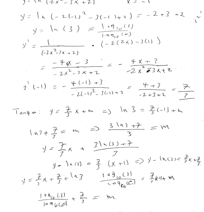
Här frågan och mitt svar kan någon hjälpa mig med att hitta det felet som finns i svaret??


Här är ett fel, likheten gäller inte. Det ska vara 4-3 i täljaren.

Yngve skrev:Här är ett fel, likheten gäller inte. Det ska vara 4-3 i täljaren.
Tack så mycket :)
Nu mitt svar blir rätt