Räkna ut arean på en kvadrat med cirklar
Hej! Har absolut ingen aning om hur jag ska räkna ut det här och lyckas inte komma längre än att skriva upp det 4•4+4x. Svaret ska tydligen bli 16+8√3, men jag förstår verkligen inte hur.
Snälla snälla kan någon förklara för mig, det är prov på det här imorgon och jag fattar noll
Hej,
Hjälper denna bild dig vidare?

Tänk att linjerna som jag ritade in börjar i cirkelns mittpunkt, alltså har de längden 2 l.e. (de blev sneda på bilden).
Hej, tack så jättemycket för svar!

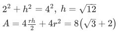
Jag tänker att jag kan räkna ut X såhär: 2^2+x^2=4^2 så 16-4=12 alltså X= V12
Så då borde en hel sida vara V12+2, och man tar det gånger två så får man arean dvs (V12+2)•2 =V48+4
Men facit säger att det är fel, jag förstår inte riktigt vart jag gjorde fel.
Räkna ut arean av kvadraten + arean av de fyra trianglarna.

Nu fattar jag!! Tack så mycket!!
Ingen orsak, lycka till på ditt prov!