räkna ut avstånd med en vinkel och en given sida
Hej! Jag har fastnat på en uppgift.
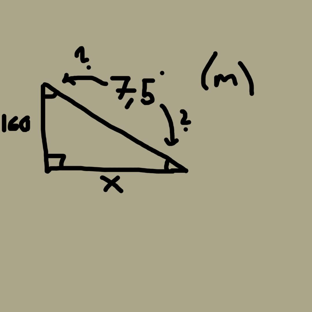
Wille ser rakt framför sig i fjärran en hög byggnad som han vett är 160 m hög hur långt ifrån byggnaden befinner sig wille om han uppskattar den vinkeln under vilken han ser byggnaden 7,5 grader.
Jag försökte räkna med den givna vilken, vilket inte funkade. Tänkte att den sista vinkeln är 82,5 grader, vilket jag istället testade med. När jag tog 160xtan(82,5) fick jag 1215 m och i facit ska det vara 1200 m, så antar att det är rätt. Men testade bara och har ingen bra metod:( varför går det inte att använda den första vinkeln? Och sedan kanske jag måste repetera sin cos och tan, men försåt inte riktigt att det skulle vara tan utefter frågan? Är 7,5 grader den vinkeln där Wille står, eller den övre vinkeln?
Förlåt för lite virrig fråga, men jag är tacksam för svar
Har du ritat? Lägg upp bilden här. Om du inte har ritat: Rita och lägg upp bilden här.
som sagt fattar jag inte var 7,5 grader ska vara
Gör en bättre bild! Dina vinklar ser ut att vara ungefär 30o respektive 60o. En vinkel som är 7,5o är mycket spetsig. Och även på din bild går det att se vilken vinkel som är spetsigast!
Det är svårt nät jag inte vet vilken vinkel jag ska göra spetsig... det är mer att förstå uppgiften jag har ett problem med än att rita en bild
Hur stor är den tredje vinkeln i en rätvinklig triangel där en av vinklarna är 7,5o?
