8 svar
603 visningar
ohms 7 – Fd. Medlem
Postad: 2 okt 2020 17:38

Räkna ut koncentration av lösning i en seriespädning

Jag undrar hur jag ska lösa det här problemet.
Det är en seriespädning av en KMnO4-lösning. På vänstra sidan anges hur många ml av spädningen provröret innehåller. På högra anges absorbansen i spektrofotometer, men det är irrelevant för den här delen av uppgiften.
Totala mängden avjoniserat vatten + stamlösning är 50ml.

Volym 0,008 M KMnO4lösning (mL) & Absorbans
0 ---------------------------------------- 0
0,2 -------------------------------------- 0,083
0,4 -------------------------------------- 0,179
0,8 -------------------------------------- 0,451
1,6 -------------------------------------- 0,595
3,2 -------------------------------------- 1,273

Jag måste räkna ut koncentrationen av KMnO4 i de olika provrören.
Detta gör jag, antar jag, genom att räkna ut molmassan, som är 158,04. Sedan tar jag den gånger 0,008 för att få fram hur många g/l stamlösningen innehåller, vilket blir 1,264.
Om 0,008M stamlösning innehåller den mängden, antar jag att man därefter tar det dividerat med 50 och multiplicerar med den mängd stamlösning varje provrör innehåller. Så det nedersta, med 3,2 ml stamlösning i totalt 50 ml stamlösning+vatten, och får fram att den innehåller 0,081g KMnO4/l.
Hur konverterar man dessa sifror till koncentration? Koncentration = molaritet?
Och när man ska räkna, koncentrationen, då använder man väl inte med 50ml, utan räknar med mängden KMnO4-lösning relativt till vattenmängden? Så den nedersta, 3,2, så räknar man ut hur mycket det är relativt till 46,8ml vatten?

ohms 7 – Fd. Medlem
Postad: 2 okt 2020 18:22

Kom fram till att jag tar 0,008 multiplicerat med mängden ml med lösningen för att få fram M per provrör. Delar detta sedan med antalet liter lösning+vatten, för att få fram koncentrationen.

Detta ger när jag gör en kalibreringskurva.

Y = 2425,9x + 0,0291

R^2 = 0,9847

Ser det ut att stämma?

ohms 7 – Fd. Medlem
Postad: 2 okt 2020 18:59

Då återstår frågan hur jag kan räkna ut någontings koncentration baserat på dess absorbtion och kalibreringskurvan.

Jag har ju fått fram ett Y och ett R^2. Vad ska jag göra med dem? Säg att jag har ett provrör av okänd molaritet men med samma lösning. Jag sätter in det i spektrofotometern och får absorbansen 0,5. Vad gör jag?

Smaragdalena 78892 – Avstängd
Postad: 3 okt 2020 09:53 Redigerad: 3 okt 2020 10:23

Lägg upp ditt diagram (inklusive regressionslinjen), så ser vi om det ser vettigt ut. Om du hade ett blankprov också, så borde linjen gå genom origo.

Jag skulle göra diagrammet med koncentrationen på x-axeln, inte någon masshalt eller liknande (men det kan bero på sammanhanget). Är det verkligen bara en värdesiffra i stamlösningens koncentration?

ohms 7 – Fd. Medlem
Postad: 6 okt 2020 00:07
Smaragdalena skrev:

Lägg upp ditt diagram (inklusive regressionslinjen), så ser vi om det ser vettigt ut. Om du hade ett blankprov också, så borde linjen gå genom origo.

Jag skulle göra diagrammet med koncentrationen på x-axeln, inte någon masshalt eller liknande (men det kan bero på sammanhanget). Är det verkligen bara en värdesiffra i stamlösningens koncentration?

Hej och tack för ditt svar!

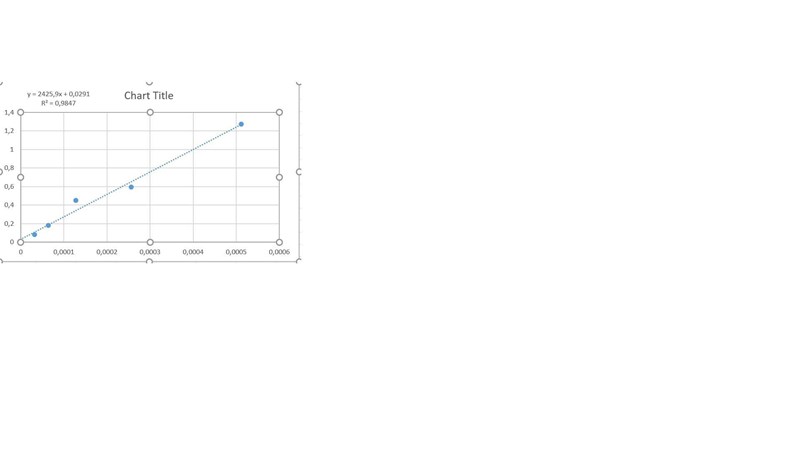
Jag bifogar kalibreringskurvan här. Y-axeln är absorbtion och X-axeln är koncentration.

Tanken är att jag med hjälp av detta ska kunna placera in okända koncentrationer på kurvan, genom att använda mig av deras absorbans. Förstår inte riktigt hur det fungerar. Alla sifrorna är återgivna direkt från uppgiften, förrutom exemplet 0,5 absorption som jag gav.

ohms 7 – Fd. Medlem
Postad: 6 okt 2020 00:21

Här är en till kurva med mer data i. Varför skiljer sig värdena så stort? Är det för att även de mer utspädda provrören tas med i den här kurvan?

Smaragdalena 78892 – Avstängd
Postad: 6 okt 2020 10:04

Pricken längst till höger i det sista diagrammet ser helt fel ut. 

ohms 7 – Fd. Medlem
Postad: 7 okt 2020 13:30
Smaragdalena skrev:

Pricken längst till höger i det sista diagrammet ser helt fel ut. 

Jag har kollat runt lite till om kurva 2 och det verkar som att det är poängen med resultatet, att visa på någon begränsning i spektrofotometern vi använder.

Så det enda jag undrar över egentligen är det där med hur man ska placera in en okänd koncentration på kurvan bara baserat på absorbansen. Det är kurva 1 som behövs för att lösa det.

Smaragdalena 78892 – Avstängd
Postad: 7 okt 2020 14:34

Hitta y-värdet (absorbansen) för den okända lösningen på linjen, läs av koncentrationen (x-värdet)

Svara
Close