Räkna ut konvergensradien m.h.a kvotkriteriumet.
har tyvärr inget lösning av uppg, men rätt svar ska vara
jag gör såhär

det där tyckte jag var så kontstigt att lösa ut så jag var tvungen och dubbelkolla detta med wolframAlpha

vad är det jag räknar för fel?
Jag förmodar att du försöker summera serien genom att utnyttja exemplet från någon skrift som du citerar. Exemplet är dock en funktionsföljd och inte en serie. Det är inte nödvändigt att summera serien. Det räcker med att bestämma konvergensradien för den givna POTENSSERIEN. Utnyttja följande sats: Konvergensradien R till potensserien Summa( an zn ) ges av 1/R = limsup(Abs(an )1/n då n går mot oändligheten. (Ber om överseende för min dators begränsade förmåga att skriva matematiska tecken) Du behöver någon bra uppskattning på dina binomialuttryck.
För att ange en mängd M där serien konvergerar likformigt, behöver du inte ange det maximala M som finns. För epsilon >0 kan du ta M =mängden av z sådana att abs(z) <= R - epsilon. Dvs en kompakt mängd i C.
Tomten skrev:Jag förmodar att du försöker summera serien genom att utnyttja exemplet från någon skrift som du citerar. Exemplet är dock en funktionsföljd och inte en serie. Det är inte nödvändigt att summera serien. Det räcker med att bestämma konvergensradien för den givna POTENSSERIEN. Utnyttja följande sats: Konvergensradien R till potensserien Summa( an zn ) ges av 1/R = limsup(Abs(an )1/n då n går mot oändligheten. (Ber om överseende för min dators begränsade förmåga att skriva matematiska tecken) Du behöver någon bra uppskattning på dina binomialuttryck.
För att ange en mängd M där serien konvergerar likformigt, behöver du inte ange det maximala M som finns. För epsilon >0 kan du ta M =mängden av z sådana att abs(z) <= R - epsilon. Dvs en kompakt mängd i C.
Men det står ju att det är en serie? Och jag tänkte ju att man kunde använda ratio test för det?
Ja, UPPGIFTEN handlar om en serie, så långt är det rätt. Men det EXEMPEL du relaterar till (med den engelska texten) handlar inte om en serie utan en funktionsFÖLJD. Ratio test (=kvotkriteriet på svenska) används för att avgöra om en viss serie konvergerar eller inte. Om du sätter in ett värde på z så får du en serie där kvotkriteriet kan hjälpa dig att avgöra konvergensen, men då har du bara gissat på konvergensradien. Om t ex kvotkriteriet säger konvergens för z=1 så vet du bara att konvergensradien är minst 1, men den kan vara större. Konvergensradien ges av formeln jag försökte skriva med min eländiga dator. (Den brukar kallas "rotkriteriet" till skillnad från "kvotkriteriet") På alla kompakta delmängder inom konvergenscirkeln konvergerar en potensserie likformigt och absolut mot en s k holomorf (eller med ett annat ord analytisk) funktion). Om du vill lära dig om potensserier, tror jag du har haft lite otur i valet av uppgift. Har sett en utredning kring en potensserie med binomialkoefficienter och den var inte rolig. Försök att först hitta en uppgift där koefficienterna an lättare låter sig beräknas med ROTKRITERIET, så tror jag du vinner större klarhet i begreppen. Därefter kanske du kan ge dig i kast med den aktuella typen.
Tomten skrev:Ja, UPPGIFTEN handlar om en serie, så långt är det rätt. Men det EXEMPEL du relaterar till (med den engelska texten) handlar inte om en serie utan en funktionsFÖLJD. Ratio test (=kvotkriteriet på svenska) används för att avgöra om en viss serie konvergerar eller inte. Om du sätter in ett värde på z så får du en serie där kvotkriteriet kan hjälpa dig att avgöra konvergensen, men då har du bara gissat på konvergensradien. Om t ex kvotkriteriet säger konvergens för z=1 så vet du bara att konvergensradien är minst 1, men den kan vara större. Konvergensradien ges av formeln jag försökte skriva med min eländiga dator. (Den brukar kallas "rotkriteriet" till skillnad från "kvotkriteriet") På alla kompakta delmängder inom konvergenscirkeln konvergerar en potensserie likformigt och absolut mot en s k holomorf (eller med ett annat ord analytisk) funktion). Om du vill lära dig om potensserier, tror jag du har haft lite otur i valet av uppgift. Har sett en utredning kring en potensserie med binomialkoefficienter och den var inte rolig. Försök att först hitta en uppgift där koefficienterna an lättare låter sig beräknas med ROTKRITERIET, så tror jag du vinner större klarhet i begreppen. Därefter kanske du kan ge dig i kast med den aktuella typen.
hmm okej, men om jag tar denna då

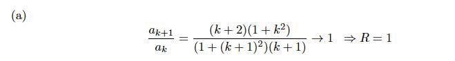
facit:

När det där går mot 1.. för att k--> 0 ? eller oändligheten? mkt oklar facit ^^
men jag chansade att - förlååååt - göra kvotkriteriumet på den iallfall och får

får 1/x , och det skulle va den närmsta gissningen jag har för att chansa vad facit "håller på" med (vet inte en finare/bättre uttryck för det.
Först nu tror jag att jag fattar lite bättre vad du menar. Kvotkriteriet kan ju faktiskt också användas för att få tag på konvergensradien R på följande sätt: Fixera z och betrakta den serie av tal an zn som då uppstår. Låt bn = an+1 zn+1 /an zn och antag att an+1 /an konvergerar mot A, när n går mot oändligheten. bn går då mot A*z. dÁlamberts kvotkriterium säger då att funktionsserien med termerna an zn konvergerar absolut för de värden på z som är sådana att A* abs(z) < 1 och DIVERGERAR för de värden för vilka A* abs(z) > 1. Det är detta som gör att konvergensradien kan bestämmas till 1/A. (Vid likhet kan ingen slutsats dragas.) Beviset bygger på jämförelse med en geometrisk serie: om t ex abs(bn+1 /bn ) < 1 så motsvarar det att kvoten i den geometriska serien är <1, som ju medför konvergens.
Ang din beräkning undrar jag om inte, när du i täljaren ersätter n med n+1, det då ska stå 2(n+1) istället för 2n+1 överst? Då får jag gränsvärdet A =4 som ger konvergensradien R=1/4.
Betr. den andra uppgiften: ak+1 /ak i facit är ett dubbelbråk från början. Förenklar man det erhåller man det stora bråket i HL. Både täljare och nämnare i det bråket är av 3:e graden. Bryt ut k3 ur både täljare och nämnare. Du får ett uttryck med konstanten 1 och termer av typ 1/kp där p>=1 i både täljare och nämnare. k ska gå mot oändligheten. Dessa termer går då alla mot 0 och kvar står endast 1/1=1. Med bn får vi alltså 1*abs(z )= 1. Enligt dÁlambert konvergerar då serien om abs(z) < 1 och divergerar om abs(z) > 1. Det betyder att konvergensradien R =1. Ber om överseende om jag missuppfattade dig från början.
Tomten skrev:Först nu tror jag att jag fattar lite bättre vad du menar. Kvotkriteriet kan ju faktiskt också användas för att få tag på konvergensradien R på följande sätt: Fixera z och betrakta den serie av tal an zn som då uppstår. Låt bn = an+1 zn+1 /an zn och antag att an+1 /an konvergerar mot A, när n går mot oändligheten. bn går då mot A*z. dÁlamberts kvotkriterium säger då att funktionsserien med termerna an zn konvergerar absolut för de värden på z som är sådana att A* abs(z) < 1 och DIVERGERAR för de värden för vilka A* abs(z) > 1. Det är detta som gör att konvergensradien kan bestämmas till 1/A. (Vid likhet kan ingen slutsats dragas.) Beviset bygger på jämförelse med en geometrisk serie: om t ex abs(bn+1 /bn ) < 1 så motsvarar det att kvoten i den geometriska serien är <1, som ju medför konvergens.
Ang din beräkning undrar jag om inte, när du i täljaren ersätter n med n+1, det då ska stå 2(n+1) istället för 2n+1 överst? Då får jag gränsvärdet A =4 som ger konvergensradien R=1/4.
Betr. den andra uppgiften: ak+1 /ak i facit är ett dubbelbråk från början. Förenklar man det erhåller man det stora bråket i HL. Både täljare och nämnare i det bråket är av 3:e graden. Bryt ut k3 ur både täljare och nämnare. Du får ett uttryck med konstanten 1 och termer av typ 1/kp där p>=1 i både täljare och nämnare. k ska gå mot oändligheten. Dessa termer går då alla mot 0 och kvar står endast 1/1=1. Med bn får vi alltså 1*abs(z )= 1. Enligt dÁlambert konvergerar då serien om abs(z) < 1 och divergerar om abs(z) > 1. Det betyder att konvergensradien R =1. Ber om överseende om jag missuppfattade dig från början.
Tack! :D