6 svar
495 visningar
FelixJ1993 11 – Fd. Medlem
Postad: 3 dec 2019 18:30

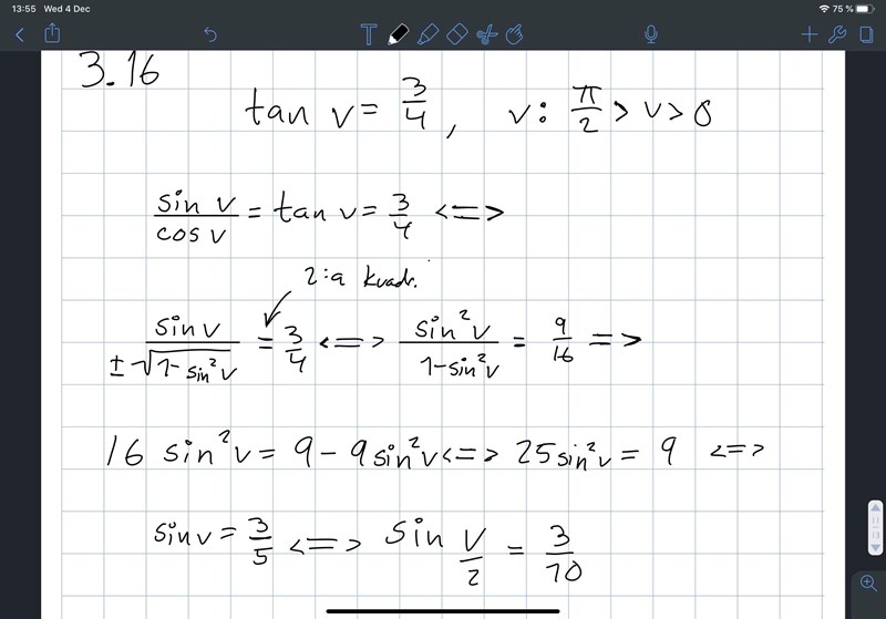
Räkna ut sin v/2 med tan v = 3/4

Hejsan har en fråga jag inte vet hur jag skall lösa

Skall räkna ut vad sin v/2 är då tan v = 3/4 och i första kvadranten, hur ser mitt tillvägagångssätt ut? Tack!

Dr. G 9649
Postad: 3 dec 2019 19:54

Kan du teckna ett uttryck för 

sin(v)

om du vet tan(v)?

Använd trigonometriska ettan! Hur blir det med tecknet när du vet vilken kvadrant vinkeln är i?

FelixJ1993 11 – Fd. Medlem
Postad: 4 dec 2019 13:56

Detta är fel, det ska bli 1/√10?

Soderstrom 2768
Postad: 4 dec 2019 14:11

Rita en triangel och utnyttja att tan v är 3/4. Sen kan du räkna ut hypotenusan. Och sen sin v

FelixJ1993 11 – Fd. Medlem
Postad: 4 dec 2019 14:18

Yes men jag sedan delar sin v på 2 får jag ej rätt svar! 

Smaragdalena 78892 – Avstängd
Postad: 4 dec 2019 14:25
FelixJ1993 skrev:

Yes men jag sedan delar sin v på 2 får jag ej rätt svar! 

Nej, självklart inte, eftersom sin(v/2) inte har värdet sin(v)/2. Du behöver använda dig av formeln för dubbla vinkeln fast baklänges.

FelixJ1993 11 – Fd. Medlem
Postad: 4 dec 2019 14:38
Smaragdalena skrev:
FelixJ1993 skrev:

Yes men jag sedan delar sin v på 2 får jag ej rätt svar! 

Nej, självklart inte, eftersom sin(v/2) inte har värdet sin(v)/2. Du behöver använda dig av formeln för dubbla vinkeln fast baklänges.

Tusen tack!

Svara
Close