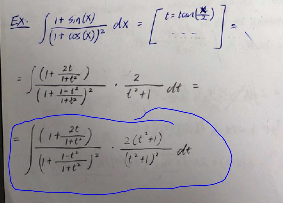
Räkneexempel variabelbytet t=tan(x/2)

Hur bli den förra blåmarkerat området till den nästa?

Så här har ja gjort:

Jag fick (t^2+1)/2(t^4+1) istället för den som står i den blåa ringen.
I steg två har du lyft ut 1 i nämnaren utanför kvadratuttrycket.
Tänk på att och inte

Där har ja utvecklat fel menar du, ja behöver kvardratkompletterar den.


Jag har fått täljare att vara t^2+2t+1. Men nämnare är helt fel. Vad beror det på ?
Jag har missat en del av beräkningen, alltså utveckling av nämnaren:

borde vara lika med:

Utveckling som ja har fått är:
I den övre bilden post #4

Så stämmer inte andra bråket med ursprungsproblemet. Där har du visat

Sedan tror jag det blir "enklare" om du skriver om ettan i första bråkets nämnare enligt följande
Gör lika med täljaren och förenkla det bråket. Sedan gör du resten av uträkningen.