3
svar
81
visningar
Räkneordning - Beräkning
Hej,
Jag går just nu en kurs och har fastnat på en uppgift där jag fick tillbaka då slutresultatet är fel.
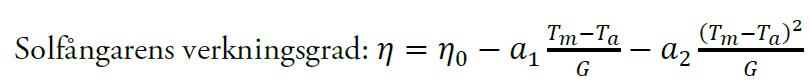
0,82-3,8*46°C-7°C/820-0,01*(46°C-7°C)2/820=0,60
Vad är det som blir fel och hur kan jag bryta ner det utifrån räkneregler?
Jag behöver fler parenteser för att se hur det är tänkt.
Hur ser formeln ut som det här är en uträkning av?
Det är i grunden en fysisk formel för beräkning av verkningsgrad.
Uppställningen enligt läraren är korrekt.

Jag får 0,62. Vad borde det bli?