9 svar
152 visningar
chalpire 47
Postad: 25 aug 2025 19:45

Räkneregler för potenser

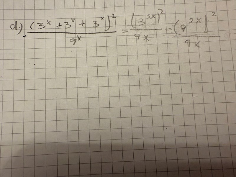
Jag kommer inte på lösningen. Svaret ska bli 9. Hur blir svaret 9? 

vimärbäst 219
Postad: 25 aug 2025 19:53 Redigerad: 25 aug 2025 19:56

Den första förenklingen du gör då 3*3^x blir då enligt potensreglen (a^x*a^y=a^(x+y) egentligen 3^(x+1) då trean som du gångrar med har en osynlig upphöjt till 1. Efter det kan du implementera (a^x)^y=a^xy och då skriva om den som (3²)^(x+1) vilket blir med samma regel 9^(x+1). Sist kan du implementera a^x/a^y=a^(x-y) vilker ger då 9^(x+1)/9^x=9^(x+1-x) vilket blir 9. Hoppas att detta hjälper. 

chalpire 47
Postad: 25 aug 2025 19:58

Förstår verkligen inte frusen av det. Finns det någon video eller något som förklarar det?

Laguna 31934
Postad: 25 aug 2025 19:59

Frusen?

Du kan prova med riktiga tal. Låt x = 2.

Då blir det (9+9+9)2/81.

vimärbäst 219
Postad: 25 aug 2025 20:01

Jonas Vikström har annars laddat upp en video på youtube med namet " Matematik 1 och 2. POTENSREGLERNA (ALLA!). Varför de fungerar, samt flera exempel!" som bör ge dig en bra förklaring över reglerna. Videon är dock 30 minuter.

chalpire 47
Postad: 25 aug 2025 20:03

Tack så mycket båda två. När man ersätter x med ett tal förstår jag. Men inte annars. Det är lite det som är själva problemet 

chalpire 47
Postad: 25 aug 2025 20:15 Redigerad: 25 aug 2025 20:16

men tar 2^x - ^x varandra? För att om x är 1. 
2^1 - 1 =1 Och exponent som är 1 blir samma tal som redan står alltså 9. Så den går bort? Eller tänker jag fel. 9^1=9 

vimärbäst 219
Postad: 25 aug 2025 20:28

Exponenter säger bara hur många gånger man ska gångra talet med sig själv så exempelvis 3^2 betyder då att du ska gångra 3 gånger sig själv två gånger vilket blir då 3*3, så ett tal upphöjt med 1 betyder att du ska gångra det talet med sig själv en gång vilket då bara blir det talet. 

vimärbäst 219
Postad: 25 aug 2025 20:46
chalpire skrev:

men tar 2^x - ^x varandra? För att om x är 1. 
2^1 - 1 =1 Och exponent som är 1 blir samma tal som redan står alltså 9. Så den går bort? Eller tänker jag fel. 9^1=9 

Checka potens reglerna igen för det verkar ha gått lite tokigt till.

avionesrapidos 35
Postad: 25 aug 2025 20:54
chalpire skrev:

men tar 2^x - ^x varandra? För att om x är 1. 
2^1 - 1 =1 Och exponent som är 1 blir samma tal som redan står alltså 9. Så den går bort? Eller tänker jag fel. 9^1=9 

Hur blev (3^x+3^x+3^x) till 9^x? 3^x+3^x+3^x kan förenklas till 3*3^x vilket i sig kan förenklas till 3^(x+1).

Svara
Close