1
svar
122
visningar
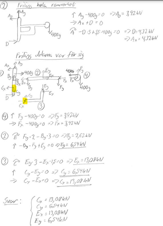
Ramverk beräkna krafterna
Hej!
Jag har löst denna uppgiften annorlunda än i lösningsförslaget och kommit fram till en tryckkraft istället för dragkraft. Är min lösning ändå korrekt? Det är på kraften som kallas c (både den horisontella och den vertikala). Jag har ju annan riktning på c- krafterna på mina friläggningar, men i så fall blir en beroende av dem för att kunna förstå riktningen på krafterna.



Jag har inte kollat mer än precis början av din lösning. Jag ser ett fel under "frilägg hela ramverket". Du skriver, korrekt, att Ax+D=0, D.v.s. Ax=-D. Men sen tappar du minus tecknet på raden under och skriver att Ax=D=4,32kN. Kan det vara där felet ligger? Eller finns det fler fel?