Randvinkelsatsen?
Tjena pluggakuten!
Frågan lyder:
En korda i enhetscirkeln syns från en punkt på cirkeln med vinkeln 120. Bestäm kordans längd.
Se figur:

Svaret ska bli roten ur 3.
Jag vet att man ska börja med randvinkelsatsen, men mer än så vet jag inte...
Tack för hjälpen på förhand!
Börja med att rita två radier som bildar en passande medelpunktsvinkel.
Arktos skrev:Börja med att rita två radier som bildar en passande medelpunktsvinkel.
Du menar såhär:

Om jag har gjort rätt, vad är nästa steg?
Ser föresten att vinkeln mellan de gröna linjerna är 120 grader.
Cosinus-satsen, så får du svaret.
Etthejfrånpolhem skrev:Arktos skrev:Börja med att rita två radier som bildar en passande medelpunktsvinkel.
Du menar såhär:
(digur
Om jag har gjort rätt, vad är nästa steg?
Ser föresten att vinkeln mellan de gröna linjerna är 120 grader.
Du har rätt om vinkeln.
Bilden blir ännu mer instruktiv om du drar två nya linjer
från en punkt upptill på periferin till
de punkter där de gröna linjerna skär periferin. :-)
Då ser man tydligt vilken medelpunktsvinkel det är
som hänger ihop med randvinkeln 120°.
De två gröna linjerna definierar ju två olika medelpunktsvinklar.
Vilken randvinkel hänger ihop med den andra medelpunktsvinkeln?
Trinity2 skrev:Cosinus-satsen, så får du svaret.
Tack för hjälpen Trinity2, tyvärr vet jag inte hur jag tar mig vidare från cosinusatsen.
Enligt satsen och figuren blir det enligt följande:

Vi vet tyvärr inte a eller b, så vet tyvärr inte hur man kan gå vidare med denna satsen.
Arktos skrev:Etthejfrånpolhem skrev:Arktos skrev:Börja med att rita två radier som bildar en passande medelpunktsvinkel.
Du menar såhär:
(digur
Om jag har gjort rätt, vad är nästa steg?
Ser föresten att vinkeln mellan de gröna linjerna är 120 grader.
Du har rätt om vinkeln.
Bilden blir ännu mer instruktiv om du drar två nya linjer
från en punkt upptill på periferin till
de punkter där de gröna linjerna skär periferin. :-)
Då ser man tydligt vilken medelpunktsvinkel det är
som hänger ihop med randvinkeln 120°.
De två gröna linjerna definierar ju två olika medelpunktsvinklar.Vilken randvinkel hänger ihop med den andra medelpunktsvinkeln?
Tack för svaret Arktos, du skriver:
Då ser man tydligt vilken medelpunktsvinkel det ärsom hänger ihop med randvinkeln 120°.De två gröna linjerna definierar ju två olika medelpunktsvinklar.
De tolkar jag som ritat i figuren nedan:
Du skriver dessutom:
Vilken randvinkel hänger ihop med den andra medelpunktsvinkeln?
Tyvärr kan jag inte svara på detta, eftersom den andra vinkeln uppfyller kraven för randvinkelsatsen. För att det ska uppfylla randvinkelsatsen så måste det se ut som bilden nedan:

Löste uppgiften:
Hittade bild på wikipedia

Ritad bild

Vinklar beräknas och ritas ut:

Vi delar dessutom upp triangel till en likbent tirangel och får att hörnen är 30 grader och att hypotinusen av respekitve triangel är 1.
Beräkning av kordans längd görs:

Snygg figur!
Saknar bara markering av den medelpunktsvinkel (240°)
som hänger ihop med randvinkeln 120°. Det är detta som gör att vi kan säga att den mindre vinkeln mellan de gröna linjerna är 120°. (det steget i resonemanget saknas!). Av detta följer att den likbenta triangelns båda övriga vinklar är 30°.
Så de röda linjerna behöver man inte dra för att lösa problemet.. Jag tyckte bara de var bra att se för att även visa randvinkeln till mp-vinkeln 120°.
Cirkeln har radien 1 eftersom den är en enhetscirkel (se texten).
Bilden från Wikipedia passar inte ihop med problemet i texten.
Den tycker jag vi glömmer.
Din bild i #7 är bra! Men det du säger där stämmer inte.
Välj en punkt C på periferin, mellan A och B.
Dra linjerna AC och CB. Vinkeln ACB är då en randvinkel,
och motsvarande medelpunktsvinkel är (360 – y)°.
Figuren visar bara hur det ser ut när medelpunktsvinkeln är mindre än 180°. Kompletterar vi figuren med vinklarna ACB och (360 – y)° så stämmer den även för vinklar som är större än 180°.
Hänger du med?
Arktos skrev:Snygg figur!
Saknar bara markering av den medelpunktsvinkel (240°)
som hänger ihop med randvinkeln 120°. Det är detta som gör att vi kan säga att den mindre vinkeln mellan de gröna linjerna är 120°. (det steget i resonemanget saknas!). Av detta följer att den likbenta triangelns båda övriga vinklar är 30°.Så de röda linjerna behöver man inte dra för att lösa problemet.. Jag tyckte bara de var bra att se för att även visa randvinkeln till mp-vinkeln 120°.
Cirkeln har radien 1 eftersom den är en enhetscirkel (se texten).
Bilden från Wikipedia passar inte ihop med problemet i texten.
Den tycker jag vi glömmer.Din bild i #7 är bra! Men det du säger där stämmer inte.
Välj en punkt C på periferin, mellan A och B.
Dra linjerna AC och CB. Vinkeln ACB är då en randvinkel,
och motsvarande medelpunktsvinkel är (360 – y)°.
Figuren visar bara hur det ser ut när medelpunktsvinkeln är mindre än 180°. Kompletterar vi figuren med vinklarna ACB och (360 – y)° så stämmer den även för vinklar som är större än 180°.Hänger du med?
Tack för ditt svar Arktos!
Jag tror jag hänger med, jag tänker såhär:
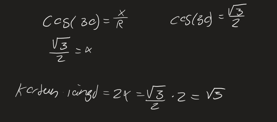
Vi ritar ut randvinkelsatsen för vinklar större än 180 grader och beräknar den till 240 grader, samt att vinkeln V beräknas, se bild nedan.

Därefter beräknas x på samma sätt som ovan, se bild nedan:

Snyggt.
Så tänkte jag också.
Randvinkel och motsvarande medelpunktsvinkel
ska "peka åt samma håll", "öppna sig åt samma håll".
i det här fallet uppåt.
Här är wikisidan om randvinkelsatsen
https://sv.wikipedia.org/wiki/Randvinkelsatsen
I Fig. 4 visas alla fallen:
https://sv.wikipedia.org/wiki/Randvinkelsatsen#/media/Fil:Kreiswinkel.svg
Arktos skrev:Snygg figur!
Saknar bara markering av den medelpunktsvinkel (240°)
som hänger ihop med randvinkeln 120°. Det är detta som gör att vi kan säga att den mindre vinkeln mellan de gröna linjerna är 120°. (det steget i resonemanget saknas!). Av detta följer att den likbenta triangelns båda övriga vinklar är 30°.Så de röda linjerna behöver man inte dra för att lösa problemet.. Jag tyckte bara de var bra att se för att även visa randvinkeln till mp-vinkeln 120°.
Cirkeln har radien 1 eftersom den är en enhetscirkel (se texten).
Bilden från Wikipedia passar inte ihop med problemet i texten.
Den tycker jag vi glömmer.Din bild i #7 är bra! Men det du säger där stämmer inte.
Välj en punkt C på periferin, mellan A och B.
Dra linjerna AC och CB. Vinkeln ACB är då en randvinkel,
och motsvarande medelpunktsvinkel är (360 – y)°.
Figuren visar bara hur det ser ut när medelpunktsvinkeln är mindre än 180°. Kompletterar vi figuren med vinklarna ACB och (360 – y)° så stämmer den även för vinklar som är större än 180°.Hänger du med?
Hej! Hur blir mittpunktsvinkeln 120 grader? Har lite svårt att hänga med i resonemanget om hur randvinkelsatsen används här. Jättetacksam över svar!
swaggerdabber44 skrev:Arktos skrev:Snygg figur!
Saknar bara markering av den medelpunktsvinkel (240°)
som hänger ihop med randvinkeln 120°. Det är detta som gör att vi kan säga att den mindre vinkeln mellan de gröna linjerna är 120°. (det steget i resonemanget saknas!). Av detta följer att den likbenta triangelns båda övriga vinklar är 30°.Så de röda linjerna behöver man inte dra för att lösa problemet.. Jag tyckte bara de var bra att se för att även visa randvinkeln till mp-vinkeln 120°.
Cirkeln har radien 1 eftersom den är en enhetscirkel (se texten).
Bilden från Wikipedia passar inte ihop med problemet i texten.
Den tycker jag vi glömmer.Din bild i #7 är bra! Men det du säger där stämmer inte.
Välj en punkt C på periferin, mellan A och B.
Dra linjerna AC och CB. Vinkeln ACB är då en randvinkel,
och motsvarande medelpunktsvinkel är (360 – y)°.
Figuren visar bara hur det ser ut när medelpunktsvinkeln är mindre än 180°. Kompletterar vi figuren med vinklarna ACB och (360 – y)° så stämmer den även för vinklar som är större än 180°.Hänger du med?
Hej! Hur blir mittpunktsvinkeln 120 grader? Har lite svårt att hänga med i resonemanget om hur randvinkelsatsen används här. Jättetacksam över svar!

Den gröna vinkeln är i detta fallet θ+120=180, vilket ger att θ=60 grader. Detta ger att den röda vinkeln är 2*θ=2*60=120 grader.